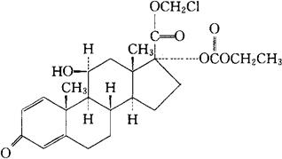
乙碳酸氯替泼诺
C24H31ClO7=466.96 CAS-82034-46-6 17-[(乙氧羰基)氧]-11-羟-3-氧代-雄甾-1,4-二烯-17-羧酸,氯甲基酯,(11β,17α)。 Androsta-1,4-diene-17-carboxylic acid,17-[(ethoxycarbonyl)oxy]-11-hydroxy-3-oxo-,chloromethyl ester,(11β,17α). 氯甲基11β,17-二羟-3-氧代雄甾-1,4-二烯-17β-羧酸酯,17-(乙基碳酸酯)。 Chloromethyl 11β,17-dihydroxy-3-oxoandrosta-1,4-diene-17β-carboxylate,17-(ethyl carbonate). 消炎药(局部用)。 氯替泼诺乙基碳酸酯。 Loteprednol Etabonate,P-5604,HGP-1,CDDD5604. INN(Loteprednol),USAN.  |