网站首页  词典首页

请输入您要查询的字词:

 

字词 二元对比排序方法
类别 中英文字词句释义及详细解析
释义 二元对比排序方法

模糊排序中最常用的方法。

所谓排序是针对某种特定含义进行的。例如,在人群中按健康程度排序就是一个典型的模糊排序的例子。二元对比排序,是指对几个特定的排序对象在两面对比的基础上所做的整体排序。

常用的二元对比排序方法是择优比较法;优先关系定序法;相对比较法和对比平均法。

(1)择优比较法。它源于心理学。

例如:问:在桂花、牡丹花,梅花中按“喜欢”的含义排序。此时论域U={桂花,牡丹花,梅花}选几个人,每人被试m次。回答:{佳花,牡丹花}{桂花,梅花},{牡丹花,梅花}三组中优越者,记录总次数。优选总和数大的先排。从而得到整体排序。

(2)优先关系定序法。

一般地表述如下

设U={u1,u2,…,un}。

先建立U中任二个元素之间的优先关系。用Cij表示ui与uj之间uj优于uj的成分(或u1对uj的优先选择比)。要求:

Cii=0 0≤Cij≤1 且,

Cij+Cji=1

Cii=0表示ui较uj的优越程度为0。

0≤Cij≤1表示二个元素比较的优先选择比最大为1(绝对优先),最小为0(绝对不优先)

Cij+Cji=1表示二个元素优劣是互补的。

称矩阵C=(Cij)n×n为优先关系矩阵。

具体作法是:

(a)利用二元对比写出优先关系矩阵C=(Cij)n×n

(b)取阈值λ∈〔0,1〕求得截割矩阵

是布尔矩阵。

(c)将λ由1到0递减选取得到布尔矩阵序列,当首次出现第i行元素除对角线外全为1时,则ui即为最优排序元素。

(d)除去最优排序元素得到n-1阶矩阵重复以上步骤,即得整体排序结果。

(3)相对比较法。

一般表述如下:

设有u1,u2,…,un需排序。先在任二个元素中ui,uj中建立比较级。

再通过一定的规则进行整体排序。

ui,uj的比较级定义为数对:

(fui(ui),fui(uj))

且fui(ui)≥0 fui(uj)≤1

该数对可以这样解释:

若fuj(ui)表示ui与uj比较具有某特性的程度,则ui与ui比较就应具有某特性的程度是fuj(uj)。

排序规则如下:

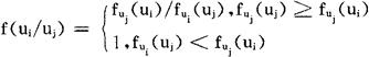
(a)建立相及矩阵F=(f(ui/uj))n×n

f(ui/ui)=1 故F矩阵对角线全为1。

(b)按F矩阵每行取最小值,比较每行最小值由大到小进行整体排序。

(4)对比平均法。一般表述如下:

设论域U,建立笛卡儿积U×U到〔0,1〕上的映射,g:U×U→〔0,1〕

此处g实际上是表示模糊关系的二元函数。设元素ui,uj具有模糊关系g(ui,uj)和g(uj,ui)。

可以将它们取为:

将可利用上面相对比较法排序。

也可将它们取为:

g(uj,ui)=cji

则可利用上面的优先关系法排序。

更一般地说:

若在论域U中存有某种含义上的测度σ(u)而且满足归一化条件

udσ=1

则可使用论域上的积分:

f(ui/U)=∫ug(ui/u)dσu (u遍历论域)

求出f(u1/U),f(u2/U),…f(un/u)

并依据 f(ui/U)的大小排序。

随便看

 

文网收录3541549条中英文词条,其功能与新华字典、现代汉语词典、牛津高阶英汉词典等各类中英文词典类似,基本涵盖了全部常用中英文字词句的读音、释义及用法,是语言学习和写作的有利工具。

 

Copyright © 2004-2024 Ctoth.com All Rights Reserved
京ICP备2021023879号 更新时间:2025/12/10 22:56:20