二胆碱替去莫南
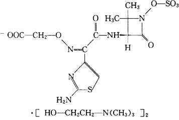
C12H13N5O9S2·2(C5H14NO)=643.73 CAS-102916-21-2 CAS-102507-71-1(tigemonam) 2-羟基-N,N,N-三甲基-乙醇胺,与[S(Z)]-[[[1-(2-氨基-4-噻唑基)-2-[2,2-二甲基-4-氧代-1-磺基氧代)-3-氮杂环丁烷基]氨基]-2-氧代亚乙基]氨基]氧]醋酸盐(2∶1)。 Ethanolaminium,2-hydroxy-N,N,N-trimethyl-,salt with[S(Z)]-[[[1-(2-amino-4-thiazolyl)-2-[(2,2-dimethyl-4-oxo-1-sulfooxy)-3-azetidinyl]amino]-2-oxoethylidene]amino]oxy]lacetic acid(2∶1). 胆碱盐与[[[(Z)-(2-氨基-4-噻唑基)[[(3S)-1-羟-2,2-二甲基-4-氧代-3-氮杂环丁烷基]氨基甲酰基]亚甲基]氨基]氧]醋酸氢硫酸酯(2∶1)。 Choline,salt with[[[(Z)-(2-amino-4-thiazolyl)[[(3S)-1-hydroxy-2,2-dimethyl-4-oxo-3-azetidinyl]-carbamoyl]methylene]amino]oxy]-acetic acid,hydrogen sulfate(ester)(2∶1). 抗菌药。 泰格莫南胆碱。 Tigemonam,Dlcholine,Tigemen,SQ 30836. INN(Tigemonam),USAN. 
|