网站首页  词典首页

请输入您要查询的字词:

 

字词 港口固定资产余额递减法
类别 中英文字词句释义及详细解析
释义
港口固定资产余额递减法

港口固定资产余额递减法

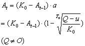
亦称“定率减值法”。是用固定的折旧率乘以扣除累积折旧额后的净值,确定各年折旧额的一种加速折旧的方法。其计算公式为:

式中:At,At-1——固定资产第t年和第(t- 1 )年折旧额; Ko——固定资产原始价值; Q——固定资产报废时预计残值; u——固定资产报废时预计清理费用; To——固定资产最佳使用年限; t——固定资产使用年限t= 1,2,3……To; α——固定资产折旧率。

☚ 港口固定资产时间利用率   港口固定资产改造(装)修理 ☛
00002056
随便看

 

文网收录3541549条中英文词条,其功能与新华字典、现代汉语词典、牛津高阶英汉词典等各类中英文词典类似,基本涵盖了全部常用中英文字词句的读音、释义及用法,是语言学习和写作的有利工具。

 

Copyright © 2004-2024 Ctoth.com All Rights Reserved
京ICP备2021023879号 更新时间:2025/10/18 14:28:11