网站首页  词典首页

请输入您要查询的字词:

 

字词 港口固定资产最低总成本现值法
类别 中英文字词句释义及详细解析
释义
港口固定资产最低总成本现值法

港口固定资产最低总成本现值法

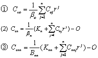
亦称“港口固定资产总成本现值比较法”。是通过计算、分析、比较大修、改装、更新等并存的可行方案在相同使用时间内的固定资产总使用成本的现值,从中选择最小者,来确定港口固定资产最佳补偿方案的一种方法。各种方案的固定资产总使用成本现值,可按下式计算:


式中:Czo——旧固定资产继续使用第j年末的总使用成本现值;Czm——用相同结构的新固定资产更换后,第j年末总使用成本现值; C——现用先进高效的新固定资产更换后,第j年末总使用成本现值;Czm——旧固定资产改装后,第j年末总使用成本现值; C2r——旧固定资产经大修后,再用到第j年末的总使用成本现值,K——相同结构新固定资产的原值,K——先进高效新固定资产的原值; Km——旧固定资产现代化改装的投资额;Kr——旧固定资产大修理投资额; O——旧固定资产在更换年份的残值; Coj——旧固定资产在第j年的经营费用; Cj——相同结构新固定资产在第j年的经营费用; Ci——先进高效新固定资产在第j年的经营费用; Cmj——旧固定资产改装后在第j年的经营费用; Cj——旧固定资产大修后在第j年的经营费用;βm——旧固定资产改装后劳动生产率提高系数; βa——相同结构新固定资产劳动生产率提高系数; β——先进高效新固定资产劳动生产率提高系数; βr——旧固定资产大修后劳动生产率提高系数; βo——旧固定资产继续使用时劳动生产率提高系数; ri——现值系数=1/(1+j)i,(i为资金年利息率); j——固定资产使用年限,j=1、2、3、…,n。劳动生产率提高系数=该方案固定资产生产率+相同新固定资产生产率。

☚ 港口固定资产总成本现值比较法   港口固定资产使用年限平均折旧法 ☛
00002116
随便看

 

文网收录3541549条中英文词条,其功能与新华字典、现代汉语词典、牛津高阶英汉词典等各类中英文词典类似,基本涵盖了全部常用中英文字词句的读音、释义及用法,是语言学习和写作的有利工具。

 

Copyright © 2004-2024 Ctoth.com All Rights Reserved
京ICP备2021023879号 更新时间:2025/10/19 0:19:40