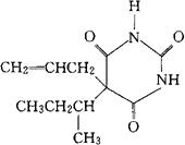
他布比妥
C11H16N2O3=224.26 CAS-115-44-6 5-(1-甲丙基)-5-(2-丙烯基)-2,4,6(1H,3H,5H)-嘧啶三酮。 5-(1-Methypropyl)-5-(2-propenyl)-2,4,6(1H,3H,5H)-pyrimidinetrione. 烯丙基-5-仲-丁基巴比土酸。 Allyl-5-sec-butylbarbituric acid. 催眠镇静药。 Talbutal,Lotusate,Lutawin,Lotusate,Profundol. INN,USAN,USP.  |