网站首页  词典首页

请输入您要查询的字词:

 

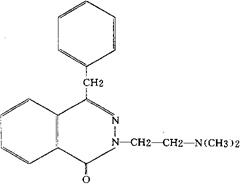
字词 他拉斯汀
类别 中英文字词句释义及详细解析
释义 他拉斯汀

C19H21N3O=307.39

CAS-16188-61-7

2-[2-(二甲氨基)乙基]-4-苄基-1(2H)2,3-二氮杂萘酮。

2-[2-(Dimethylamino)ethyl]-4-benzyl-1(2H)phthalazinone.

抗组胺药。

Talastine,Benzylphthalazone.

INN,USAN,MI.

随便看

 

文网收录3541549条中英文词条,其功能与新华字典、现代汉语词典、牛津高阶英汉词典等各类中英文词典类似,基本涵盖了全部常用中英文字词句的读音、释义及用法,是语言学习和写作的有利工具。

 

Copyright © 2004-2024 Ctoth.com All Rights Reserved
京ICP备2021023879号 更新时间:2026/4/22 17:14:30