网站首页  词典首页

请输入您要查询的字词:

 

字词 甲状腺功能的放射性核素检查
类别 中英文字词句释义及详细解析
释义
甲状腺功能的放射性核素检查

甲状腺功能的放射性核素检查

甲状腺的功能是合成、贮存和分泌甲状腺激素。甲状腺激素经血液循环到达靶组织,调节靶细胞的生理活动。甲状腺合成、贮存和分泌甲状腺激素的功能又受垂体分泌的促甲状腺激素(TSH)及下丘脑分泌的促甲状腺激素释放激素(TRH)调节。因此,临床上表现为甲状腺功能亢进或低下的各种症状,其病因可能在不同环节,即使在同一环节,也可能有不同性质。甲状腺功能检查的目的就是要查明病变的环节和性质,以采取针对性的措施,取得较好疗效。所以甲状腺功能检查包括从下丘脑、垂体至甲状腺等各个环节的功能检查,还包括循环血液中甲状腺激素及其代谢产物的检查,以及靶细胞功能的检查。现代医学对这些环节的检查,除靶细胞功能检查(如基础代谢率的测定)外,绝大多数都有赖于放射性核素的应用。在临床核医学中,甲状腺功能的检查是重点之一。按照受检环节的不同,甲状腺功能的放射性核素检查分为三类。第一类是甲状腺功能的动态检查,主要以甲状腺对碘的吸收为基础,反映甲状腺本身的功能状态或对促甲状腺激素的反应能力。第二类是血液中甲状腺激素浓度的测定。第三类是下丘脑-垂体-甲状腺轴关系试验。其检查内容如下:
甲状腺功能动态试验:
❶甲状腺吸碘(131I、123I、132I、99mTcO-4)试验;
❷过氯酸盐释放试验;
❸甲状腺对131I的廓清试验;
❹甲状腺激素(甲状腺素T4或三碘甲状腺原氨酸T3)抑制试验;
❺促甲状腺激素(TSH)兴奋试验(
❹、
❺项按原理应属第三类,但测定方法同吸131I试验,故归入第一类)。
血液中甲状腺激素浓度的测定:
❶用体内示踪法测量血液中甲状腺激素量的试验: 血浆蛋白结合131I(或125I)的测定; 丁醇提取131I测定;
❷利用红细胞吸收试验或树脂吸收试验测定血液中甲状腺激素量;
❸利用蛋白竞争结合分析法测定血清总T4;
❹利用放射免疫分析法测定血液中甲状腺激素量: 血清总T4放射免疫测定;血清总T3放射免疫测定;游离甲状腺素指数;血清游离T4及T3放射免疫测定;血清反T3及T2放射免疫测定。

下丘脑-垂体-甲状腺轴关系试验:
❶血清TSH测定


(RIA);
❷促甲状腺激素释放激素(TRH)兴奋试验;
❸血清TRH测定(RIA)。
甲状腺吸131I试验 口服示踪量131I(常用2μCi Na131I溶液)后,利用甲状腺有摄取和浓聚131I的功能及
131I能发射γ线的特点,用闪烁探测器[1960年国际原
子能机构(IAEA)推荐,探头距颈部甲状腺处20~30cm]分别在2、4、6、24小时(或3、6、24小时)测量甲状腺对131I的摄取率,以判断甲状腺吸收无机碘的功能状态。


参考正常值: 北京地区24小时正常范围为25~65%,<25%为功能减低,>65%为高于正常。国内过去曾以盖革计数管直接放在颈部甲状腺处测量,其24小时正常值为15~45%。正常值除因测量技术及方法不同而有差别外,还受地区和甲状腺本身生理变化(年龄、性别等)的影响,如沿海地区空气中含碘量高,居民的甲状腺吸131I率常稍低,内地山区土壤及食盐中含碘量低,居民的甲状腺吸131I率较高(食用加碘食盐者相反)。一般女性吸131I率稍高于男性,青春期(女性13岁左右,男性17岁左右)吸131I率较成年人为高。因此,各地区各单位应建立本单位的正常值。国内几个地区的甲状腺吸131I率见表1。此外,含碘丰富的食物(如海带、紫菜等)及多种药物(如含碘含溴制剂、过氯酸盐(ClO-4)、硫氰酸盐(SCN-)、抗甲状腺药物、甲状腺激素等)均可降低甚至完全抑制甲状腺对131I的吸收,在试验前必需十分注意。

表1 国内部分地区成人甲状腺吸131I率正常值


甲状腺功能亢进(甲亢)时吸131I率高,曲线上升快,曲线高峰常前移(即最高吸131I率在24小时前到达)。本法诊断甲亢的准确率约为90%,但吸131I率的高低与甲亢病情程度无关,不能作为甲亢治疗过程中判断是否好转的指标。甲状腺功能低下(甲低) 时的吸131I率与正常范围交叉较大,诊断准确性不如甲亢。


图1 甲状腺吸131I率正常及异常曲线
1. 甲亢 2. 正常 3. 甲低


除甲亢或甲低外,多种其他甲状腺或非甲状腺疾病亦能影响甲状腺吸131I功能,如单纯性甲状腺肿吸131I率可稍偏高,急性或亚急性甲状腺炎吸131I率明显降低(恢复期有时可高于正常),慢性甲状腺炎,特别是桥本甲状腺炎,吸131I率可正常、偏低或略高,垂体功能不足、肾上腺皮质功能低下、席汉病等吸131I率常偏低。
131I半衰期较长(8.04天),又是β发射体,不是理想的示踪剂,因此,碘的其他放射性同位素及与碘离子类似的高锝酸根离子(99mTcO-4)均曾被用作甲状腺吸碘试验的示踪剂。99mTcO-4能被甲状腺所摄取只是由于离子浓聚作用,它不能参与碘的代谢,不能有机化。1971年5月,IAEA推荐它作为甲状腺早期吸收试验的示踪剂,以反映甲状腺对碘离子的吸收功能。此外,甲状腺对99mTcO-4的吸收不受抗甲状腺药物的影响,故可用以观察抗甲状腺药物治疗期间甲亢患者的甲状腺功能状况。

表2 用于甲状腺吸碘试验的其他放射性碘及核素


放射性
核 素
半衰期β线平
均能量
(keV)
主要γ
线能量
(keV)
优 点缺 点
132I2.28 h490668
773
甲状腺所受辐
射剂量小,约
为121I的1%;
可用于孕妇及
儿童;短期内
可重复
γ线能量强,
半衰期太短
125I6.02d035(γ线)
27(X线)
甲状腺所受辐
射剂量略小于
131I
能量太弱,现
已不用
123I13.0h0159符合理想示踪
剂条件
加速器生产,
价格贵,尚难
推广
99mTc6.02h0141只用于早期吸
收试验
 

过氯酸盐释放试验 过氯酸盐与卤族元素的离子相似,有阻止甲状腺从血浆中摄取碘离子或促使碘离子(尚未结合成有机碘)从甲状腺内释出的作用。口服示踪剂131I后2小时测量吸131I率,然后口服过氯酸钾400mg,1小时后再次测量,如测得之吸131I率与第一次比较无明显下降,则甲状腺功能正常,因过氯酸钾只能阻止甲状腺继续摄取131I离子,但不能使已参入有机物的131I自甲状腺释出; 如第二次测得之吸131I率比第一次明显下降,即说明原来已被甲状腺摄取的131I仍以离子状态存在。此法常用于鉴别诊断某些酪氨酸碘化受阻的甲状腺疾病,如慢性甲状腺炎(桥本甲状腺炎),先天性过氧化物酶缺少症等。
甲状腺对131I的廓清试验 甲状腺摄取131I的功能也可从测量甲状腺自血液内清除131I的速度反映出来,一般以每分钟能清除的毫升数(血浆)表示,称为甲状腺对121I的廓清率。

正常值平均约25ml/min (7~56ml/min),甲亢时可>80ml/min。
甲状腺激素(T4或T)抑制试验 正常情况下甲状腺摄取碘的功能与垂体前叶分泌的TSH之间有反馈调节的关系。当给予外源性甲状腺激素时,血液中的甲状腺激素含量增高,TSH的释出减少,因而甲状腺吸131I功能受到抑制。但当甲亢时,由于体液内存在非垂体性的甲状腺刺激物质或甲状腺滤泡上皮的功能自主,甲状腺的吸131I功能可不再受TSH的控制而无此抑制现象。测量患者服用T4 (常用干燥甲状腺片每日180mg,连服二周)或T2(每日80~120μg,连服一周)前后的甲状腺吸131I率,并加以比较,如服药后的吸131I率明显下降(降至小于正常值下限或抑制率>50%)可除外甲亢,反之,则为甲亢。
本试验常用于甲亢的鉴别诊断,准确率可达95%。本试验对合并心脏病的病人不宜应用,特别是有心房颤动及心力衰竭者禁用。
促甲状腺激素兴奋试验 甲状腺功能正常时TSH能促进甲状腺摄取碘,当注射TSH(一般肌注10国际单位)24小时后重复吸131I试验,可见甲状腺吸131I率明显增高,而原发性甲低者则无此反应,甲亢者虽有反应,但增长率不如正常者高。
本试验可用于鉴别诊断原发性(TSH试验阴性)或继发性(垂体疾病使TSH分泌减少,因而影响甲状腺功能,TSH试验阳性)甲低,了解甲状腺功能储备以指导服用甲状腺激素以及诊断甲状腺自主性功能亢进性腺瘤等。
血浆蛋白结合131I的测定(PB 131I或PB 135I )甲状腺激素从甲状腺释出进入血液后,99.9%以上与血浆蛋白相结合,游离激素的量极微,因此,血浆蛋白结合碘的测定可以直接代表甲状腺激素的量。引入体内的131I(或135I)被甲状腺摄取后,参与甲状腺激素的合成,并同样被释出进入血循环。
口服示踪量 Na 131I (或Na 135I)后48小时取血,分离血浆,并去除血浆中游离131I,然后测量血浆中的放射性,以每升血浆中所含示踪量的百分数表示。国外报道的正常值上限由0.27~0.4%/L血浆不等,协和医院报道以0.3%/L血浆为正常值的上限,大于该值即可诊断为甲亢。
PB 131I的测定比化学法测定PBI方法简便,且不受外界碘污染的影响,但所得结果的含义与PBI不尽相同。PBI是代表血液中甲状腺激素的总量,PB 131I则代表放射性碘引入人体后,被131I标记的甲状腺激素的量,不包括原来已存在的甲状腺激素量,也可以说是反映甲状腺制造与分泌甲状腺激素的速度。因此,鉴别诊断甲亢的准确率较高,但对判断甲亢病人手术后或131I治疗后的甲状腺功能状态并无价值,因术后或131I治疗后甲状腺体积缩小,甲状腺贮存激素的能力也相应缩小,此时,合成的激素总量虽不多,但迅速释入血液,使PB 131I的浓度相对升高。这类病人临床上虽无甲亢症状,甚或有低下症状,但其PB 131I值却往往高于正常。本方法对诊断自主性功能亢进性腺瘤有一定价值; 此类病人甲状腺吸131I率及PBI往往正常,而PB 131I常为高值。PB 131I的甲低值与正常值交叉较大,诊断甲低的准确率低。
丁醇提取131I测定(BE 131I测定) 虽然PB 131I的成分主要是T4及T3,但也含有一些其他碘化物。丁醇可以提取甲状腺激素使之与其他碘化物分离,从而测得的值也更能真正代表血浆中甲状腺激素的浓度。对于诊断甲亢,BE 131I与PB 131I的准确率相同,但前者操作复杂,一般不用,仅在某些甲状腺激素合成障碍疾病,如桥本甲状腺炎,由于存在不正常的碘化物而使PB 131I值偏高,才有诊断价值(正常时BE 131I值约相当于PB131I值的80%,如二者之间的差距增大,便可确诊)。
上述二项试验目前已少用,均被下面提到的体外试验所取代,后者不需将放射性核素引入体内,又不受含碘、含溴等药物或食物影响。
利用红细胞吸收试验或树脂吸收试验测定血液中甲状腺激素量的试验
甲状腺激素(TH)进入血液后,绝大部分与血浆中的载体蛋白(主要是TBG)相结合。正常时,TBG约有1/3与TH相结合,其余为自由TBG。自由TBG容量取决于血浆中TH的浓度和TBG总容量。
加一定量的标记TH至血浆样品,标记TH就可以和血浆中的自由TBG相结合。甲亢时血浆中TH浓度高,TBG饱和程度高,能与标记TH结合的量小,游离的(未结合的)标记TH多; 甲低时则相反,血浆中TH浓度低,自由TBG多,与加入的标记TH结合多,游离的标记TH少。因此,测量游离的标记TH的量,可以反映血浆中TBG被TH饱和的程度,也就间接反映了血浆中TH的量。常用的具体方法有:
(1) 125I-T3 (或131I-T3)红细胞或树脂吸收试验: 采用红细胞或树脂作为吸附剂,吸收未结合的标记TH(125I-T3),测量红细胞或树脂的放射性,计算出未结合125I-T3占加入125I-T3总量的百分率。红细胞吸收试验以每毫升红细胞的吸收率表示之,甲亢者高于正常,甲低者低于正常。树脂吸收试验用树脂吸收比值(RUR) 表示之(因游离碘能与树脂结合,125I-T3中无机125I的含量会造成误差,为消除此因素,而将所得结果与标准血清吸收率比较,求得比值),甲亢者高于正常,甲低者低于正常。也有用125I-T3血浆结合比值表示者,即测量用树脂移去游离125I-T3后的125I-T3结合部分的放射性,与标准血清相比较,求得比值,甲亢者应低于正常,甲低者则高于正常。各种方法的国内正常值见表3。

表3 125I-T8吸收试验国内正常值


测定单位红细胞吸收试验
(%/ml RBC)
血浆结合比值
上海华山医院13.05±4.590.99±0.1(树脂法)
上海瑞金医院15.1±2.680.995±0.094(活性炭法)
北京协和医院12.18±1.69(女)
13.08±1.81(男)
 

(2) 用竞争蛋白质结合分析法(CPBA)测定血清总T4:先取正常人血清加入一定量125I-T4,稀释制成125I-T4-TBG试剂。测定时将一定量的125I-T4-TBG试剂加入样品管,血清样品中非标记的T4事先用乙醇提取或用胃蛋白酶等方法使T4从TBG中游离出来,与试剂中的125I-T4竞争,把一部分125I-T4置换出来,其量与样品血清中T4含量成正相关。用适当的分离剂吸收游离的125I-T4,测量125I-T4-TBG放射性,计算出结合率。从同样程序(加血清样品时代之以T4标准品)制备的标准曲线上可查出血清T4的含量。正常值国内人民解放军301医院为4.7~13.0μg%,协和医院为4.4~10.6μg%;国外英国Thyopac 4为4.5~13μg%。
CPBA法乃利用血清中天然存在的TBG为特异结合剂,不需制备抗体,但在特异性、回收率及重复性等方面均不如放射免疫法。
利用放射免疫分析法(RIA)测定血液中甲状腺激素量的试验 有以下四种。
(1)血清总T4和总T3的放射免疫测定: 用放射免疫分析法测定血清总T4和总T3的主要优点是灵敏度高、特异性强、操作简便。对T2来说更是目前唯一能直接定量的方法。故这种方法现已成为临床诊断甲状腺功能障碍最常用的方法之一。
T4和T3放射免疫分析法的原理与其他放射免疫分析法相同,可参见“放射免疫分析”条。所需试剂主要是T2抗血清(或T4抗血清)、125I-T3(或125I-T4)、标准T2(或标准T4)、结合和游离T3(或T4)的分离剂(可在双抗体、树脂、PEG等中选择一种)。现在国内外都已有成套试剂的试剂盒供应,使用者需要着重注意的是试剂的保存及对方法的质量控制。特别应注意的是T3抗血清的专一性。由于T3在血清中的含量仅为T4的1/66,T3抗血清与T4的交叉应控制在万分之几到千分之几,对反T3的交叉也应尽量小。
血清样品的处理方法有多种。可以不经提纯而直接进行竞争结合反应,只需在反应系统中加TBG阻断剂(如水杨酸钠、ANS等)防止TBG与T3 (或T4)结合影响竞争结合反应。也可以用适当方法除去TBG再进行反应。不论那种方法,大多都比较简便易行。
T3的正常值: 不同实验室及不同方法略有差异。国外报道多在100~150 ng/dl间,个别也有超过200ng/dl者。国内天津医学院140.1±27.4ng/dl,协和医院154±32ng/dl (PEG法),上海华山医院140±36ng/dl。据报道,3天至6周的初生儿T3水平高于成人,5岁以后随年龄增长有递减趋势。T2降低也见于严重肝病及应用糖皮质激素、锂、丙基硫氧嘧啶及禁食的病人。
T4的正常值: 上海华山医院9.2±1.8μg% (双抗体法),9.7±1.6μg%(PEG法);协和医院9.20±1.71μg%(PEG法);英国Amerlex 5.3~12.4μg%(固相法)。血清总T4可作为甲状腺功能试验的最基本筛选试验,但对于T3甲亢(T3-thyrotoxicosis,仅有T3升高而T4正常)、甲亢经抗甲状腺药物或131I治疗、甲状腺自主性功能亢进性腺瘤,单项测定总T4尚不能真实反映病人的甲状腺功能状态(因药物影响或腺体较小,使有机碘库小,甲状腺为适应碘的不足,合成的激素以需碘较少的T3为主),应以联合测定T3为宜。此外,作为诊断甲亢的指标,血清T3比T4灵敏,因甲亢时血清T3值的升高比T4值明显,甲亢复发时T3的升高亦早于T4;但诊断甲低时血清T3不如T4灵敏,因在甲状腺功能不全时,腺体受TSH或缺碘的刺激能制造较多的T3以代偿,使血清T3下降不明显。
血清总T4及T3测定的最大缺点是受TBG容量改变的影响,凡能影响血中TBG浓度或结合力的因素均能影响总T4、T3的测定结果。TBG升高者血清总T4、T3值也高,如应用雌激素、口服避孕药、妊娠、遗传性TBG增多症等;反之则降低,如应用雄激素、苯妥英钠、肾病综合症、遗传性TBG减少症等。为了消除TBG浓度改变造成的误差,最好直接测定游离T4或T3,或采用间接反映的方法,如FT4I或ETR。
(2)游离甲状腺素指数(Free Thyroxine IndexFT4I):FT4I=125I-T3吸收率×血清总T4值。TBG浓度的改变对血清总T4或T3125I-T3吸收率均发生影响,但二者向相反方向变动。从上式可见FT4I系二者的乘积,可以抵销TBG的影响。例如妊娠期TBG量增多,机体为了使甲状腺功能保持正常,必须使血浆中游离甲状腺激素保持恒定的浓度,因此以增加血浆中甲状腺激素的总量来补偿TBG量的增多,结果妊娠时125I-T3吸收率降低,而血清总T4值升高。FT4I则不受影响,可以说代表了血浆中游离甲状腺激素的相对值。国内正常值: 上海华山医院9.95±1.83,沈阳中国医科大学8.9±1.8;英国Thyopac-5 5.7~13.2(校正值),美国Ames 4~12.5 (指男性,女性稍低些)。
(3)血清游离T4(FT4)放射免疫测定: 测定血清FT4浓度能更准确的反映甲状腺的功能状态。由于血清中FT4的浓度极低,只占总T4的0.03%,过去都是先用平衡透析、气体色谱、活性炭吸附等方法从血清中分离出FT4,然后再用放射免疫测定。这些方法操作复杂、费时,不宜于临床常规应用。近年来已发展了直接放射免疫测定法,采用联结T4抗体的固相物质,不需提取,使方法大为简化、快速。目前有的国家已有试剂盒供应。正常值: Amerlex 0.68~1.80ng/dl,Corning Medical1.0~2.5ng/dl,Roux 0.75~1.85ng/dl,协和医院0.86~2.02ng/dl。
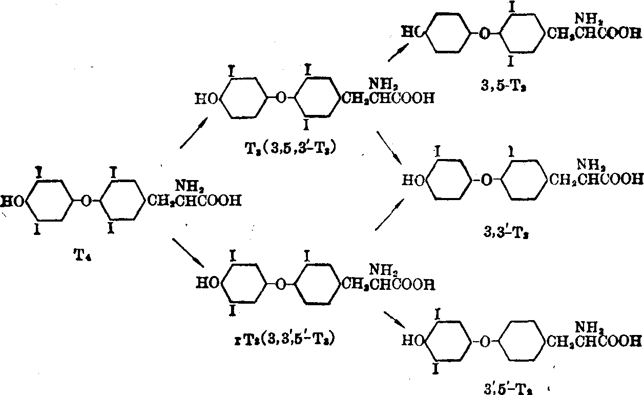
(4)血清反T3 (rT3,3,3',5'-T3)及T2
射免疫测定: 测定血清中rT3及T2的浓度对于了解甲状腺激素的代谢途径非常重要。由于它们在血浆中的浓度很低,过去测量有困难,近年来已有关于用放射免疫分析法测量 rT3及T2的报道。
T4脱去一个碘时,如果先脱去5位(内环)上的碘就产生了rT3,它与T3不同,没有生物活性,各家报道的正常值范围颇大,平均在14~60ng/dl。新生儿生后1~7天,比成人高,9天后逐渐降至成人水平。甲亢时rT3也增高,有些甲状腺功能正常者当身体处于饥饿、体衰或患慢性病时,血清T3浓度下降(统称“低T3综合征”),但rT3增高。这可能是外周组织使T4代谢时外环脱碘(产生T3)减少,而内环脱碘增加,以保护机体的一种自身调节作用。
T2也是血清中正常的成分,大部分从T3及rT3脱碘而来,前者产生3,5-T2及3,3'-T2,后者产生3',5'-T2及3,3'-T2。现在均已能成功的用放射免疫分析法测量。经研究发现,低T3综合征及新生儿的3,5-T2亦降低,说明3,5-T2可能是由T3脱碘而来。T4脱碘代谢的分子结构转变见图2,rT3及T2正常值见表4。
血清促甲状腺激素(TSH)放射免疫测定 按制备抗体时所用抗原中TSH的来源不同可分两类:
❶同种系统:TSH系从人脑垂体中提取,所得抗体对人TSH亲和力高,故方法的灵敏度也高,但来源较困难;
❷异种系统: 来源方便,但其抗血清(例如抗牛TSH血清)对人TSH的亲和力不如对牛TSH的亲和力,因而灵敏度很低,不宜临床应用。
正常值: 国外均用人TSH,有试剂盒供应,多数单位报告在0.8~4.5μU/ml,国内上海华山医院人TSH为5.5±5.2μU/ml(2.5~21.0μU/ml),天津医学院人TSH为3.4±4.0μU/ml (1~10μU/ml),协和医院人TSH 4.4±2.42μU/ml (0~9.26μU/ml)。血清TSH的正常值受饮食、环境、生理条件等因素的影响,例如低碘饮食、寒冷刺激、新生儿、年老、妊娠时TSH值偏高。
血清TSH含量的测定使临床上诊断甲低,尤其是轻型及亚临床型甲低的早期诊断水平有了显著提高:
❶因血清TSH对血循环中T4、T2的变化,反应十分灵敏,甲状腺激素浓度的轻微降低,都会引起TSH的升高,故血清TSH值是诊断原发性甲低的灵敏指标;
❷可用于鉴别诊断原发或继发性甲低。当临床表现甲低,血清


图2 T4脱碘代谢分子结构转变


表4 rT3及T2的正常值(ng/dl)

作 者rT23,3′-T23′,5′-T23,5-T2
Wu等
Burgerand Sakoloff
 7.6±2.4
4.3±2.0
  
Geola等
Gavin等
39±8.7
26±4
4.0±0.6
6.0±1.0
6.5±0.4 
Chopra等
Meinhold等
   7.3±3.5
<5.2
天津医学院等
中国人民解放军301医院等
21.85±1.41
37.3±6.3
   
T4、T3值降低时,如血清TSH升高则为原发性,反之,则为继发性;
❸血清TSH值还可用作甲低患者应用甲状腺制剂替代治疗期间调整药量的参考指标。少数情况下,如异位TSH分泌综合征,个别分泌TSH过多的垂体肿瘤所致的甲亢等,血清TSH值的测定有助于病因的诊断。
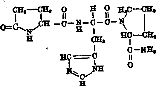
促甲状腺激素释放激素(TRH)兴奋试验 TRH是最早提纯并进行人工合成的下丘脑神经激素,无种族特异性,国内已能合成,其化学结构式见图3:


图3 焦-L-谷氨酰·L-组氨酰·L-脯氨酰胺


下丘脑分泌的TRH通过垂体门脉系统作用于垂体前叶TSH细胞的细胞膜特异受体,刺激TSH合成与释放,而血循环中甲状腺激素的微小变化又能灵敏地影响垂体前叶产生TSH细胞对TRH刺激的反应性。因此,TRH兴奋试验是研究下丘脑-垂体-甲状腺轴功能的重要方法之一。
试验方法各家报道略有不同,TRH静脉注射的剂量一般为200~500μg,于注射前及注射后15、30、60、90或120分钟取血测定TSH含量。个别报道用口服法,则TRH剂量需大20倍以上,取血时间也延长至1~4小时。反应类型及结果判断见表5。
甲亢时血清甲状腺激素升高,通过负反馈作用于垂体前叶阻抑TSH细胞对TRH的反应性,因而注射TRH

表5 TRH刺激试验结果分析

后血清TSH不升高。应用本试验可代替T4或T3抑制试验诊断甲亢,病人不必接受放射性药物,又无服用甲状腺制剂的副作用。此外,垂体对TRH的反应性也与年龄、性别、试验时间、饥饿状态及病人的病理状态有关,而且很多种药物,如抗甲状腺药物、甲状腺制剂、左旋甲基多巴、肾上腺皮质类固醇激素、前列腺素、女用避孕药等亦均可影响正常人垂体对TRH的反应性,因此,TRH兴奋试验前应注意停用上述有关药物。
血清促甲状腺激素释放激素(TRH)放射免疫测定 TRH浓度的测定有助于了解TRH的分泌动态和研究下丘脑-垂体-甲状腺轴机能的生理、病理状况,以及临床鉴别继发性甲低的病因是垂体性还是下丘脑性等。由于TRH在血中的浓度不仅低而且容易丧失活性,测量技术较困难,其放射免疫测定法虽于1972年就有报道,但至今尚在实验室应用阶段,未能推广。
TRH放射免疫分析法的特点:
❶免疫原: TRH是一个三肽激素,分子非常小,必须与蛋白质联接才能作为免疫原。目前均采用以重氮化联苯胺(BDB)为桥与牛血清白蛋白联接(TRH-BDB-BSA)的免疫原;
❷标记抗原125I-TRH的制备: 125I标记在TRH的组氨酸上,用Sephadex G-10柱纯化后需立即保存于-20℃,20天内与抗体的结合率变化不大;
❸TRH在血清中极易失去免疫活性,为防止失活需加抗灭活剂,常用者以HQT(硫酸8-羟基喹啉+吐温-20)效果最好。此试验全部操作应在4℃下进行,因37℃最易失活;
❹血清中TRH含量极低(在10-12克水平范围),测量前血清中TRH需先用甲醇提取浓缩,一般提取率约为75%。
血清TRH值由于实验室条件不同,各家报道差别较大,各种甲状腺疾病时的TRH参考值见表6。原发甲低甲状腺制剂替代治疗后TRH值恢复正常,甲亢抗甲状腺药物治疗中,TRH值逐渐增加,由敏感度以下增至5.0pg/ml以上。

表6 甲状腺疾病时血清TRH浓度(pg/ml)


作 者正 常 值原发甲低继 发 甲 低甲 亢
垂 体 性下丘脑性
Oliver (1975)19.8±3.1
(7~33)
    
Saito(1975)<19    
满间(1976)<6040~400100~600敏感度以下
(测不出)
敏感度以下
仁瓶(1979)126±23    
石原(1980)<87
43.3±25.2
131.2±73.442.9±21.2
20~109
 18.0±9.8
<36
协和医院(1983)<43155~>1600  敏感度以下
☚ 脏器的放射性核素显象   甲状腺的放射性核素显象 ☛
00018716
随便看

 

文网收录3541549条中英文词条,其功能与新华字典、现代汉语词典、牛津高阶英汉词典等各类中英文词典类似,基本涵盖了全部常用中英文字词句的读音、释义及用法,是语言学习和写作的有利工具。

 

Copyright © 2004-2024 Ctoth.com All Rights Reserved
京ICP备2021023879号 更新时间:2025/10/18 18:32:23