伊曲奈德
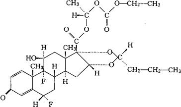
C29H38F2O9=568.61 CAS-106033-96-9 6α-9-二氟-11β,16α,17-三羟-3氧代雄甾-1,4二烯-17β-羧酸,与乙基(S)-1-羟乙基碳酸盐戊酯,再与丁醛结合成环(R)-16,17-己缩醛。 6α-9-Difluoro-11β,16α,17-trihydroxy-3-oxoandrosta-1,4-diene-17β-carboxylic acid,ester with ethyl(S)-1-hydroxyethyl carbonate,cyclic(R)-16,17-actal with butyraldehyde. 肾上腺皮质激素类药。 Itrocinonide. INN,USAN.  |