确定年金年金支付期间事先确定的年金保险。确定年金与年金受领人的生死不发生关联,年金按事先约定的期间支付。确定年金的种类可以分为: ❶年金于每期开始时支付的期初付年金及每期完了时支付的期末付年金; ❷年金在签约后即刻开始的即时年金及经过一段时间后才开始的延付年金; ❸限定一定期间给付的有限期年金及无限期延续给付的无限期年金。
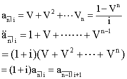
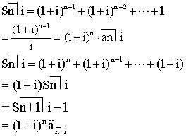
确定年金在订立年金合同时就已经确定了年金给付期间的一种年金。如果年金受领人于约定时期内死亡,年金受领人的受益人仍可继续领取年金直到约定时期结束时为止。确定年金的各期给付额折算为年金开始时的价值为确定年金的现值。通常以|ian代表利率为i, 给付期为n年的期末付确定年金现值, 而以|i 表示利率为i, 给付期为n年的期初付确定年金现值。公式如下:  确定年金在领取期结束时所有领取金的累计价值称为确定年金的终值。通常S i代表利率为i,领取期为n年的期末付款的确定年金终值,而以S i代表期初付款的确定年金终值。公式如下:
确定年金 确定年金certain annuity在订立年金合同时就已经确定了年金给付期间的一种年金。如果年金受领人于约定时期内死亡,年金受领人的受益人仍可继续领取年金直到约定时期结束时为止。确定年金的各期给付额折算为年金开始时的价值为确定年金的现值。通常以a 代表利率为i,给付期为n年的期末付确定年金现值,而以a 表示利率为i,给付期为n年的期初付确定年金现值。公式如下: 
确定年金在领取期结束时所有领取金的累计价值称为确定年金的终值。通常S  i代表利率为i,领取期为n年的期末付款的确定年金终值,而以S  i代表期初付款的确定年金终值。公式如下: 
☚ 联合年金 定期年金 ☛ 00006884 |