网站首页  词典首页

请输入您要查询的字词:

 

字词 保水剂及流变性改进剂——WRRMS(Water Retention and Rheology Modifiers)
类别 中英文字词句释义及详细解析
释义 保水剂及流变性改进剂——WRRMS(Water Retention and Rheology Modifiers)

在涂料性质中已谈及涂料的失水和涂料保水的重要。而无论是表面张力压力或机械压力所形成的水(胶粘剂)迁移都可用增加涂料粘度来有效地减缓。保水剂就有此功能,它可控制涂料保水性和流变性,这对涂料的可运行性、涂布量控制和成纸的光学机械性能等都起重要作用。

1.主要功能

(1)改进涂料施涂后的保水能力,控制涂料中游离水的流动度,减少向基纸的迁移,促成涂层分布均匀,这对高固含量的涂料尤其重要。

(2)可变更颜料或胶乳的絮集体状况或较小引起高岭土絮聚的可能,对涂料既增厚又能很好分散,如同保护胶体,可改善涂料流变性和干湿结构。在高剪切下能使瓷土消絮聚而得到良好的高速运转性。

(3)若使用低分子量的WRRMS剂,应具较低的高岭土吸收性。

2.常用WRRMs剂

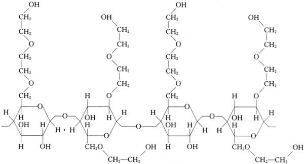
1)海藻酸盐——属天然多糖类化合物

组成结构

是guluronic酸盐和甘露糖醛酸钠组成的线性阴离子聚合物。分子结构为:

特性

(1)是好的涂料保水剂,其保水性和粘度随CMC用量的增加而增加。CMC用量达0.5%(对颜料总量)时,粘度增值3.6倍,保水性增加近一倍,见图2-92。

(2)可在较广pH值范围内形成粘度稳定的溶液,容忍钙离子程度比海藻酸钠强。

(3)有较好的粘结力和成膜性,可作涂料的辅助胶粘剂,提高固含量,改善流变性,给成纸以高的印刷光泽和油墨吸收性。

(4)良好的分散性,且对光学增白剂有较高保留率。

(5)遇钙离子或食盐等不沉淀,但可引起涂料降粘,遇铅、铁、银、锡、钡等重金属盐会产生沉淀。

主要性能指标如表2-61所示。

表2-61 CMC主要性能指标

使用方法

(1)无论细粉状或粒状,加入需要的水分浸泡溶解后与涂料混合或在颜料分散时直接加入都可。

(2)低粘度的用于高固含量配方中,中、高粘度用于低固含量配方。

(3)不宜使用金属器皿,因为CMC与金属长时间接触易引起变质或降粘。

(4)用量一般为颜料绝干量的1%~1.5%为宜。

3)羟乙基纤维素钠(HEC)——属纤维素衍生物

结构

来源

HEC是氧化乙烯与纤维素反应的产物,其氧化乙烯的取代量以MS表示,MS范围为2~3mol(每纤维素链的葡萄糖单位),粘度范围较大与CMC相似。

特性

(1)其吸收高岭土性能比相应分子量的CMC大,这样,保水值比相同粘度和计量的CMC低,须使用较低粘度和较大剂量。

(2)可给以较高的KN油墨吸收性(比CMC)。可用于一些纸板和轮转印刷纸涂料配方中。

使用方法(同CMC)

4)聚丙烯酸盐

组成

一般为丙烯酸酯与丙烯酸的共聚体钠盐或丙烯酸与醋酸乙烯共聚体钠盐等。

特性

(1)乳液状,呈酸性,在碱性条件下带阴电,相对分子质量在10000以上。

(2)对瓷土吸收不强,这与相应高分子量的CMC相似。

(3)溶液对pH或聚合电解质敏感,遇额外多价离子可引起沉淀或失去效果。

使用方法

(1)用量一般是颜料绝干量的0.15~1%,须根据涂料成分和固含量而定。

(2)乳液可最后加到涂料中,直至达到目标布氏粘度。

(3)与其适应的涂料pH以8~9为好。

3.其它添加剂对涂料流变性的影响

虽然WRRMS剂是控制涂料流变性的主要添加剂,但其它添加剂成分对涂料流变性及粘度也有影响,如分散剂、消泡剂及抗水剂等。

(1)适量分散剂的加入可降低涂料粘度,而过量的分散剂则可增加粘度(已“在分散剂”一节中提到过)。同时,分散剂也影响WRRMS剂对瓷土的吸收和含水瓷土涂料的流变性。

(2)消泡剂在消泡的同时也改变涂料粘度,据所消泡沫的大小和数量来影响涂料流动性,也会与某些涂料成分作用。

(3)一些淀粉、干酪素等的抗水剂,可引起涂料粘度的增加,如甲醛类,使用量过多或温度过高则更甚。苯乙烯马来酸酐树脂与淀粉一起使用也可增加涂料粘度。

【参考文献】:

(1) Robert J.Kane.Paper Coating Additives.TAPPI,1995.

(2) Jan C.Water.The Coating Process.TAPPI PRESS,1993.

(3) Clay Coating Chemicals for Coated Paper.Nippon Zeon Co,Ctd.

(4) Producto for the Paper Industry and Sperial Fields.BASF.Co.

(5) 涂料调制用药品的选择和配方、设计方法及实际涂料调制方法.(日)日成共孟株式会社,东工物产株式会社.

(6) Coating Conference,1982 TAPPI PRESS.

(7) 纸パ技协志,1986~1994.

(8) 纸パプ.技术夕ィムス,1984~1990.

(9) 纸和纸板的水性涂布操作指南.英国纸张与纸板业联合会,涂布工作组技术部译.1979.6.

(10) (日)纸业时代社.张运展等译.纸加工技术(上下册),中国轻工业出版社,1991.

(11) 制浆造纸手册(第十一分册).北京:轻工业出版社,1988.

(12) 钱逢麟,竺玉书主编.涂料助剂——品种和性能分册.北京:化学工业出版社,1997.

(13) 张美云.纸加工原理与技术.北京:中国轻工业出版社,1998.

(14) 朱楚斌.重氮晒图纸生产基本知识讲义.1998.

(15) 薛德文.重氮晒图纸生产用的助剂.1998.

(16) 新编精细化工产品手册.化工出版社.

(17) 韩长日,宋小平.精细化工产品实用技术手册.北京:科技文献出版社,1996.

(18) 上海造纸,上海市造纸学会编辑出版.1982~1998.

(19) 广东造纸,1998.6.涂布加工纸专辑及1998.

(20) 造纸化学品,1997~1999.

(21) Pulp and Paper Manufacture.Third Edition,1990,Volume 8,Coating,Converting,and Speciality Processes,Part One:Pinment Coating,J.R.Gunning,R.W.Hagemeyer.

(22) 纸张涂布工程,新文化彩色印书馆(台湾),1980.郑腾雄.

随便看

 

文网收录3541549条中英文词条,其功能与新华字典、现代汉语词典、牛津高阶英汉词典等各类中英文词典类似,基本涵盖了全部常用中英文字词句的读音、释义及用法,是语言学习和写作的有利工具。

 

Copyright © 2004-2024 Ctoth.com All Rights Reserved
京ICP备2021023879号 更新时间:2025/10/17 15:13:10