网站首页  词典首页

请输入您要查询的字词:

 

字词 红霉素
类别 中英文字词句释义及详细解析
释义

红霉素

大环内酯类抗生素。5%水溶液的pH为6.5~7.5。口服吸收18%~45%。静脉滴注500 mg(1 h),滴注完毕时血药浓度为10 μg/mL,自滴注开始至2.5 h为2.6 μg/mL,6 h为1 μg/mL。胆汁中浓度为血浆浓度的30倍。5%原形药物由尿排出。T1/2约1.5 h,肾功能不全者达6 h。成人每日1~1.2 g,分3~4次口服;儿童每次口服7.5~25 mg/kg,每6 h 1次。静脉滴注,每次3.75~5 mg/kg,必要时增至10 mg/kg,每6 h 1次。红霉素片:0.1 g/片。红霉素乳糖酸盐粉针:250 mg/支、300 mg/支。

红霉素erythromycinum

系从链丝菌的培养液中分离出来的一种碱性抗生素。其游离碱为白色或淡黄白色结晶粉末,味苦,有吸湿性,难溶于水,供口服用;乳糖酸盐溶解度增加,水溶液冷藏下较安定,在室温效价逐渐降低。抗菌作用与青霉素相似,对革兰阳性菌如金葡菌、链球菌、肺炎球菌、白喉杆菌、炭疽杆菌有较强抑菌作用;对百日咳杆菌、流感杆菌、布氏杆菌、放线菌、立克次体、某些螺旋体、阿米巴原虫、病毒等均有一定耐药作用;耐青霉素的菌株对本药也敏感。临床上主要用于对青霉素耐药及过敏的感染患者,如肺炎、败血症、肿、乳腺炎、痈等;也可用于白喉、军团菌肺炎的治疗。口服1日4次,1次0.2~0.4g;静注1日3次,1次0.3g,先用6ml注射用水溶解,再以30ml葡萄糖稀释后注入;静滴1日0.9~1.2g,用上法溶解、稀释后加入300~500ml 5%葡萄糖中滴入,可分次滴。本药口服有肠道症状;静滴浓度过高、速度过快可引起局部疼痛、静脉炎、胃痛、头痛;其乳酸盐针剂用生理盐水稀释可产生沉淀。

红霉素

从红色链丝菌的培养液中提得的抗菌素。属大环内酯类。此类还包括螺旋霉素、麦迪霉素、洁霉素、氯洁霉素。抗菌范围和青霉素相似。主要用于对青霉素产生抗药性的感染,治疗耐青霉素的金葡菌感染和对青霉素过敏者。口服大剂量可出现胃肠道反应,静脉滴注易致静脉炎。

红霉素

红霉素


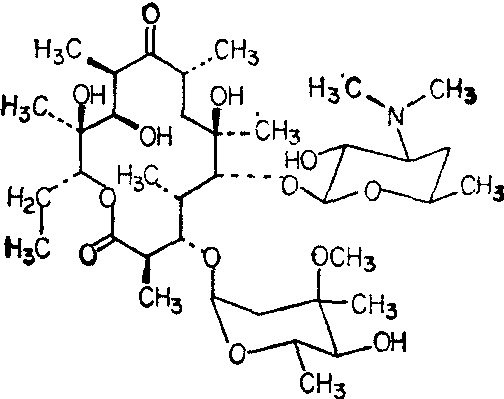
红霉素(erythromycin)是Str. erythreus产生的碱性14元环大环内酯抗生素。红霉素易溶于有机溶剂,难溶于水,成盐后溶于水,在酸性溶液中很不稳定。味苦。
红霉素对各种革兰阳性菌,有很强的抗菌作用,对革兰阴性百日咳杆菌、流感杆菌、淋球菌、脑膜炎球菌等亦有效,而对大多数肠道革兰阴性杆菌则无活性。细菌对红霉素较易产生耐药性。红霉素的作用机制是抑制细菌蛋白质合成,阻碍长肽链的形成。红霉素碱口服后迅速自小肠上部吸收,但易为胃酸所破坏,口服2~4小时后血浓度即可达高峰,在体内分布广泛,尤以胆汁浓度,可高达血浓度的十至几十倍。红霉素不易通过血脑屏障,静脉注射后前列腺内浓度为血浓度的1/3。大部分经胆汁排泄,部分可在肠道内重新吸收。
红霉素毒性很低,口服时有轻度上腹疼痛、恶心、腹泻等胃肠道反应,皮疹,药物热等过敏反应发生率约为0.5%。临床主要用于治疗耐青霉素的金黄色葡萄球菌所引起的各种严重感染如肺炎、败血症、骨髓炎等,或用于对青霉素过敏的患者。对溶血性链球菌所致扁桃体炎、猩红热、丹毒等亦可得满意效果,还可用于治疗肠球菌所致的尿路感染。但长期应用,细菌易产生耐药性,故宜与其他抗生素联合应用。
红霉素碱片应空腹口服,成人每日1~2g,分三次服用,儿童按体重每日25~50mg/kg,分次服用。
红霉素酯很多,有的无苦味,有的水溶性好,可用以制成口服或注射剂,常用者如下:
红霉素丙酸酯十二烷基硫酸盐(erythromycin propio-nate dodecyl sulfate) 为红霉素的酯化物,亦名无味红霉素,为白色结晶性粉末,无臭无味,几不溶于水,易溶于乙醇、丙酮、氯仿、乙醚及苯,耐酸,不为胃酸所破坏,口服吸收较完全,不受进食影响,吸收快,2小时后即达血清浓度高峰,同剂量可比红霉素高3~4倍,维持时间亦长。抗菌谱与红霉素相同,可引起胆汁郁积性黄疸及肝功能损伤,血清胆红质和转氨酶增高,停药后2~3日可转为正常,再给药又可重复发生。
红霉素乳糖酸盐(erythromycin lactobionate) 为红霉素衍生物,易溶于水、乙醇及甲醇,作为静脉滴注剂,滴注浓度过高速度过快,可发生静脉炎。成人每日1~1.5g,儿童每日20~30mg/kg,分2~4次滴注,以葡萄糖盐水稀释。
此外尚有红霉素碳酸乙酯(erythromycin ethylcarbo-nate),红霉素琥珀酸酯(erythromycin ethylsuccinate)等为白色无臭无味粉末,可作口服无味红霉素制剂。
☚ 大环内酯类抗生素   竹桃霉素和三乙酰竹桃霉素 ☛

红霉素

erythromycin

随便看

 

文网收录3541549条中英文词条,其功能与新华字典、现代汉语词典、牛津高阶英汉词典等各类中英文词典类似,基本涵盖了全部常用中英文字词句的读音、释义及用法,是语言学习和写作的有利工具。

 

Copyright © 2004-2024 Ctoth.com All Rights Reserved
京ICP备2021023879号 更新时间:2025/12/2 19:18:22