网站首页  词典首页

请输入您要查询的字词:

 

字词 假百合
类别 中英文字词句释义及详细解析
释义 假百合

【名称出处】:《中药大辞典》

【概况】:

异名 太百米(《陕西中药名录》)。

基源 为百合科假百合属植物假百合的鳞茎。假百合属全世界约6种,分布于东亚,中国有3种,假百合1种入药。本属有人将其归并于百合属(Lilium L.)不同处为鳞茎狭窄,无鳞片,但有黑色的膜被,有基生叶。至于花的构造则和百合属相同。

原植物 假百合Notholirion bulbuliferum(Linge-Lsh)Stearn[Liliumhyacinthinum Wilson;Notholirion hyacinthinum(Wilson)Stapf;Paradisea bulbuliferumLingelsh.]

形态 多年生草本。小鳞茎多数,卵形,直径3~5mm,淡褐色。茎高60~150cm。基生叶5~10枚。

带形,长10~25cm,宽1.5~2cm;茎生叶条状披针形,长10~18cm,宽1~2cm。总状花序具10~24朵花;苞片叶状条形,长2~7.5cm,宽3~4mm;花梗稍弯曲,长5~7mm;花淡紫色或蓝紫色;花被片倒卵状长圆形,长1.6~2cm,宽1.5cm,有钝棱。

花期7月,果期8月。(图见《中国高等植物图鉴》.第5册.456页.图7742)

生境与分布 生于海拔3000~4500m高山草丛或灌木丛中。

分布于中国甘肃、陕西、云南、西藏。尼泊尔、锡金、不丹和印度也有。

【生药】:

采集 8~9月采挖,除去地上部分及须根,晒干。

【化学】:

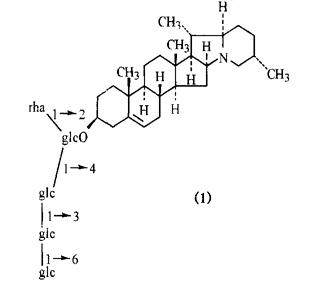
从鳞茎的甲醇提取物中分到太白米甙甲,其结构为:龙葵胺-3-O-α-L鼠李吡喃糖(1→2)-[β-D-葡萄吡喃糖-(1→4)]βD-葡萄吡喃糖甙。

另含游离的龙葵胺(即茄次碱,Solanidine)[1,2]。还含β-卡茄碱(β-Chaconine)、太白米甙(Hyacinthoside)[3]和新太白米甙(Neohyacinthoside)(1)[4]

参考文献 [1] 江苏省植物研究所等.新华本草纲要.第2册.上海科学技术出版社,1991∶539 [2] 云南植物研究 1982;4(4)∶419 [3] 药学学报 1986;21(3)∶177 [4] 药学学报 1988;23(1)∶61(CA 1988;109∶51701f)。【药性】:

性味 ❶ 《陕西中草药》:“辛、微甘、苦,温。


❷ 《西藏常用中草药》:“辛,平。”

功效 宽胸利气,健胃,止呕,镇痛,止咳。

主治 治胃痛腹胀,胸闷,呕吐反胃,风寒咳嗽,小儿惊风。

用法用量 内服:煎汤,1 5~6g;研末1.5~2.5g。

。【临床应用】:

方选和验方 《陕西中草药》:“治呕吐反胃:假百合4.5g,朱砂七、八爪龙、太羌活各6g,祖师麻3g,陈皮9g,水煎服。”

单方应用 ❶ 《陕西中草药》:“治胃痛腹胀:假百合2~2.5g,凉开水或凉生姜水冲服。”
❷ 《陕西中草药》:“治风寒咳嗽:假百合2~2.5g,蜜炙,姜水煎,凉服。”

随便看

 

文网收录3541549条中英文词条,其功能与新华字典、现代汉语词典、牛津高阶英汉词典等各类中英文词典类似,基本涵盖了全部常用中英文字词句的读音、释义及用法,是语言学习和写作的有利工具。

 

Copyright © 2004-2024 Ctoth.com All Rights Reserved
京ICP备2021023879号 更新时间:2026/4/16 18:11:42