网站首页  词典首页

请输入您要查询的字词:

 

字词 消费者支出
类别 中英文字词句释义及详细解析
释义

消费者支出Consumer Expenditure

消费者收入中用于消费支出的部分,即扣除储蓄后的剩余部分。个人的消费支出分为三部分:耐用品支出、非耐用品支出和劳务支出。消费者支出在总支出中占有较高的比重,其波动对产出、就业和经济周期有重要影响。消费者支出的变动受政治、经济、社会、文化等多方面因素的影响,主要包括一国政局稳定状况,消费习俗,消费者的可支配收入、资产,其他消费者的示范效应,消费的棘轮效应,消费者偏好,利率等。

消费者支出

消费者支出Consumer Expenditure

消费者收入中用于消费支出的部分,也就是扣除储蓄后的剩余部分。一般来说,个人的消费支出可以分解为三个部分: (1) 耐用品支出。经济的周期性波动往往是由于耐用品的支出造成的,即消费者支出中最不稳定的部分是耐用品的消费。(2) 非耐用品支出。它的波动幅度比耐用品随消费支出波动的幅度要轻微得多,并且随着经济的增长,呈现出平稳的增长路径。(3) 劳务支出。当经济周期性波动,从而消费支出也随之改变时,象医疗保健这类劳务项目却几乎没有什么变动。这说明社会的文明程度越高,劳务支出变得愈来愈重要,代表着消费中增长幅度最大、增长速度最快的部分。
消费者支出的变动受政治、经济、社会、文化等诸多因素的影响,主要包括: (1) 消费者的可支配收入。按照简单的消费函数理论,消费取决于个人的可支配收入,即一定时期内居民个人所获得的货币与非货币的日常总收入,包括工资、奖金、租金等以及其他来源(如国外汇款) 的收入。(2) 资产。消费者的消费还取决于他所拥有的总资产 (包括继承所得、赠予所得和个人购置等),总资产价值变动的消费倾向接近于利率。(3) 消费者的示范作用。消费者的消费支出不仅受自身收入的影响,而且还受别人消费支出和收入的影响,即受消费示范作用的影响。(4) 消费的棘轮作用。消费者的支出不仅受本人目前收入的影响,而且还受过去收入和消费的影响,这是消费习惯起作用的结果。由于存在着消费习惯的作用,消费者支出的变化往往落后于收入的变化。(5) 消费者偏好。消费者喜欢稳定还是随机的消费,以及喜欢给后代留下财产还是把资产都消费掉等等,都会影响每一时期的消费支出。(6) 利率。利率会影响到现期消费和未来消费的相对价格,从而较高的实际利率应该能起到刺激消费者减少消费支出来增加储蓄的作用。另外,利率会影响投资,也可能会影响到消费者的支出等等。
消费者收入中没有消费掉的部分被储蓄起来,是资本形成的基础,因而储蓄的决定因素也就是未来经济发展和繁荣的决定因素。更为直接地,消费支出在总支出中占有相当高的比重,它的波动对产出、就业和经济周期带来一系列重要影响。所以,对消费者支出的理论和实证研究就显得格外重要。一些主要的研究成果包括: (1) 凯恩斯 (J. M. Keynes) 的消费支出理论。英国经济学家凯恩斯最初提出消费支出和收入之间的关系。他认为消费者的支出取决于其收入,并随当期真实收入的变动而变动。可简单地表示为C= f(Yd),其中C为实际消费支出,Yd为实际可支配收入。(2)杜森伯里 (J. Duesenberry) 的消费支出理论。他认为消费者的支出受相对收入的影响,即不仅受自身收入,而且还受别人消费支出和收入及自己的过去收入和消费的影响。(3) 弗里德曼 (M. Friedman) 的消费支出理论。他指出人们的消费支出主要不是同他的现期收入有关,而是同他可以预期的未来收入,即持久收入有关,从而应该用人们的长期收入来分析其现期消费支出的变化。(4) 莫迪利亚尼 (F.Modigliani) 的消费支出理论。他认为消费支出的变化同人的一生的不同阶段有关,消费支出与财产之间,尤其是一生的财产之间有联系,即消费支出取决于两个变量,分别是现期工作收入和总资产。用数学公式表示为:C=b1Yd+b2A,其中,Yd是可支配收入,A是资产,b1和b2是系数。另外,还有美国的经济学家霍撒克 (H. S. Houthakker) 和泰勒 (L.D. Taylor) 提出了消费支出依存于现期收入、消费品价格和已有的消费品存量的消费支出理论等。
事实上,现代经济学中,几乎所有的消费支出理论都是从研究单个消费者的行为开始,即满足一定约束的前提下,消费者最大化其效用函数。消费者的效用函数可以表示为:


其中,Ut是t时期的效用,q1到qT是从时期1到时期T的消费向量,Et是t时期的预期,且f(·) 是一个拟凹函数。对这个函数的几点说明为: (1) 函数f(·) 表示的效用量是从确定性消费向量中得到的,并且来自整个生命周期的消费; (2) 1到T表示从出生期到死亡期的各个时期; (3) 引入预期因素是由于决策是在不确定情况下做出的; 等等。
跨时期的效用函数经常被假定为具有跨时期可加性,所以效用函数 (1) 可以表示为更易于处理的数学形式,即:

需注意函数 (2) 的可加性表明现有的决策与以前的决策不相关,这一点与函数 (1) 不同。
由于函数 (2) 的效用的跨时期可分性,最大化生命周期内的效用等同于每一时期的次效用函数Vt(·) 在满足该期的最优支出总量约束下的最大化,而每一时期的消费支出在不同商品上的分配留待到达该时期时考虑。那么,分配在时期t的消费支出将遵从以下的原则:

其中,pt是qt的价格向量,xt是t期的总消费支出。尽管xt对消费者来说是不确定的,而且还是一个广泛的跨时期选择问题,问题 (3)仍然是静态效用最大化的标准模式之一。这样就将注意力一方面放在需求分析上,即分析问题 (3); 另一方面集中在消费函数上,等同于解决资源的跨时期分配问题,即确定xt
可以将t期的效用最大化问题重新表示为Ψt(xt,pt),其中Ψt(·)是标准的间接效用函数。于是,传统的跨时期效用函数就可以表示为:

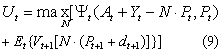
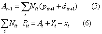
考虑函数(4)最大化的预算约束条件,通常要对跨时期生命周期财富的各种影响因素进行分析。具体地,设At是t期初期已分配到的资产的价值、Nit是价格为Pit时资产的名义持有量、dit是t期开始时立即给付的资产报酬和Yt是t期的收入,那么:

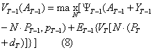
(5) 和 (6)表明财富的跨时期变化过程。假设消费者的终期财富不为负即AT+1≥0,要解决上述问题,可以采用后向补充法,也就是,T期是不再有未来的终点,消费者从t期观察可以得出自己的T期的次效用方程,可表示为:

VT(AT)=ψT(AT+YT,pT) (7)

给定(7),可以得到T-1期的效用方程,即:

依次向后类推,消费者到达t期,他所选择的资产向量N必须能解决下面的问题:


以上所述的理论框架,等同于现代的消费生命周期理论,同时也是关于消费支出研究的一个基本框架,向前可追溯到欧文·费雪(Irving Fisher,1930,The Theory of Interest.New York: The Macmillan Company.) 和弗兰克·拉姆齐 (Frank Ramsey,1928,A Mathematical Theory of Saring. Economic Journal38 ,543—59.),从现代的莫迪利亚尼(Modigliani) 和布伦伯格 (Brumberg)(1954,Vtility Analysis and the Consumption Function:an Interpretation of Cross-Section Data. In postKeynesian Economics,ed. K. K. Kurihara,New Brunswick: Rutgers University Press.)那里也能找到根源,只不过他们没有把不确定性模型化,并且只使用了一种资产。更为现代的观点可参见布里登 (Breeden,1974,An Intertemporal Asset Picing Model with Stochastic Consumption and Investment Opportunities.Journal of Financial Economics 7,265—96)和霍尔 (Hall,1978,Stochastic Implications of the Life Cycle-penmanent Income Hypothesis:Theory and Evidence. Journal of Political Economy 86 ,971—87.),也可见格罗斯曼(Grossman) 和希勒 (Shiller)(1981,The Determinants of the Variability of Stock Market Prices.American Economic Review,Papers and Proceedings 71,222—7)。
☚ 耐用消费品   意外消费计划 ☛
00000213
随便看

 

文网收录3541549条中英文词条,其功能与新华字典、现代汉语词典、牛津高阶英汉词典等各类中英文词典类似,基本涵盖了全部常用中英文字词句的读音、释义及用法,是语言学习和写作的有利工具。

 

Copyright © 2004-2024 Ctoth.com All Rights Reserved
京ICP备2021023879号 更新时间:2026/4/16 20:54:35