兰丝菌素[中]
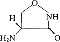
C3H6N2O2=102.09 CAS-68-41-7 由链丝菌种的一种丝菌Streptomyces orchidacuss或Streptomyces garyphalus培养液中提取制得。 (+)4-氨基-3-异噁唑烷酮。 (+)4-Amino-3-isoxazolidinone. 抗生素类药。用于结核菌的感染。 环丝氨酸。 Cycloserine(台),Orientomycin,Oxamycin,Seromycin. 环丝氨酸胶囊(兰丝菌素胶囊)。 INN,BAN,BP,DCF,DCIT,IP,JP,NFN,USAN,USP,MI.  |