网站首页  词典首页

请输入您要查询的字词:

 

字词 计时工资
类别 中英文字词句释义及详细解析
释义

计时工资jì shí gōng zī

按照劳动时间多少来计算的工资。1930年《中华百科辞典》“工资”条:“计时工资,Time Payment。”1950年1月《中国工业》新1卷第9期:“依劳动时间而定的工资称为‘计时工资’,依劳动成果而定的工资称为‘计件工资’。”

计件工资←→计时工资jì jiàn gōng zī ← → jì shí gōng zī

计件工资:以生产的产品合格件数或完成的作业量来计算的工资。
计时工资:以劳动时间多少技术熟练程度来计算的工资。
【例】 你拿的是计件工资,他拿的是计时工资。

计时工资

按照职工的技术熟练程度、劳动繁重程度和工作时间的长短,来支付工资的一种形式。是我国现行工资制度的主要形式。计时工资的数额,是根据职工的工资标准和实际工作时间的长短来计算的。根据计算工资的时间单位不同,一般可分为小时工资、日工资、月工资三种形式。在企业中一般采用三者结合的方法来计算计时工资。根据采用计时工资时是否采用奖金形式加以补充,又可将计时工资分为简单计时工资和奖励计时工资两种。

计时工资time wage

按照劳动者的工作时间和一定的工资标准计算工资的一种工资形式。有简单计时工资和计时奖励工资。前者直接根据实际工作时间和工资标准计算工资;后者是在简单计时工资的基础上,按照劳动者的生产、工作成绩(如超额完成任务、节约原材料、安全生产等)给予一定的奖励。计时工资按计算时间的长短可分为小时工资、日工资、周工资、月工资、年工资等。

计时工资

计时工资jishi gongzi

参见“资本主义工资”。

☚ 实际工资   计件工资 ☛

计时工资

见“社会主义工资”。


计时工资

按照工人劳动时间支付的工资。如小时工资、日工资、周工资、月工资等。资本主义工资基本形式之一。

计时工资

按照个人实际劳动时间、工资等级和标准支付的劳动报酬。

计时工资

是根据工人的技术熟练程度、劳动强度和工作时间来支付劳动报酬的一种工资形式。其数额根据工资标准和劳动时间来计算,包括对已做工作按照计时工资标准支付的计时工资; 因病、工伤、产假、计划生育假、事假、探亲假、定期休假、停工、学习、执行国家或社会义务等原因按计时工资标准或计件工资标准的一定比例支付的工资以及支付给学徒工的生活津贴。实行超定额按件计酬,完不成定额照发计时标准工资的办法支付的工资,也应计入计时工资和奖金,而不算做计件工资。
计时工资可分为小时工资制、日工资制和月工资制三种形式。
一、小时工资制。即根据工人的小时工资标准和实际工作的小时数来计算工资。其计算公式如下:


二、日工资制。即根据工人的月工资标准和实际工作日数来计算工资,其计算公式如下:


三、月工资制。即根据规定的月工资标准来计算工资。
计时工资制的特点决定了它的应用范围非常广泛,在实际运用中,施工企业一般采用月工资制和日工资制相结合的方法计算计时工资。即在预发工资或全勤时,按月工资标准发给工资;在工人缺勤或加班时,按日工资标准扣除或加发工资。小时工资制只作为辅助形式,应用较少。
由于计时工资制对相同等级的工人在工作时间相同的前提下,不论劳动成果如何,发给相同数额的工资,因此不利于鼓励工人从物质利益上去关心劳动成果。为了提高劳动生产率,施工企业可采用计时加奖励工资制。

计时工资Hourly Wage

按照工人的工作时间和熟练程度来计算工资的一种工资形式。分简单计时工资和计时奖励工资。前者直接根据工人的工资等级以及与该等级相适应的工资标准和实际工作时间计算;后者是在简单计时工资基础上,再按生产、工作的成绩支付一定的奖金。

计时工资

按照职工的劳动熟练程度、劳动强度和劳动时间长度确定和支付劳动报酬的一种工资形式。其数额由职工的工资标准和劳动时间来决定。根据计算工资的时间单位不同,可分为小时工资、日工资、周工资、月工资和年工资等。由于计时工资以固定的工资标准和时间长短来计算工资,往往不能确切反映出劳动者在某一特定时期所付出的实际劳动,所以实行计时工资需要不断评估劳动者的实际贡献,以便调整工资标准,确定合理的工资级别和工资级差,还需要通过奖金、津贴等工资的辅助形式进行补充,这样才能更好地把劳动者的劳动报酬同他们的劳动贡献联系起来。在我国,计时工资多采取月工资的形式。适宜采取计时工资的工作一般有:(1) 由职工个人或职工集体所完成的工作成果,不能直接反映出工作的努力程度和技术高低,或者在测定上有困难的场合,如事务性工作;(2) 作业速度受机械控制的场合,如传送带作业;(3) 工作极为必要,但最终成果与付出劳动的比例难以预料的场合,如科研创新工作。

计时工资

按照职工的技术熟练程度、劳动强度以及工作的时间支付工资的一种形式。这是我国现有工资制度中的基本工资形式。它又分为小时工资、日工资、月工资。中国基本上采用月工资的形式。计时工资简单易行,适应性强,任何部门、企业和工种一般都能采用这种工资形式。但是,计时工资只能反映不同等级职工和劳动时间长短的差别,不能全面反映同等级职工在相同的劳动时间内劳动强度和劳动成果的差别,不能把劳动报酬同劳动成果紧密地联系起来,易产生平均主义,不利于调动劳动者的积极性。因此,必须辅之以奖励制度,更好地体现按劳分配的要求

计时工资

按工人的劳动时间支付的工资。是资本主义制度下工资的基本形式之一。由于劳动力这个特殊商品是按一定时间出卖的,作为劳动力价值转化形式的工资就分为月工资、周工资、日工资、小时工资等。
由于劳动日的长度不同,同样数量的日工资、周工资、月工资可以代表不相同的劳动量所支付的货币额。资本家正是利用这一点加强对工人的剥削。当经济繁荣时,资本家就迫使工人延长劳动日,加强劳动强度,榨取更多的剩余价值。当危机、萧条时,资本家又利用小时工资制,缩短劳动日使工人陷入失业或半失业状态。正如马克思所说:“他可以破坏就业方面的任何规则性,完全按照自己的方便、意愿和眼前利益,使最惊人的过度劳动同相对的或完全的失业互相交替。”(《马克思恩格斯全集》第23卷第597页)工人阶级就是这样陷入了痛苦的深渊。
社会主义制度下,也还存在着计时工资的形式,但它不再是劳动力价值或价格的转化形式,而是按劳分配支付劳动报酬的一种形式。
【参】 社会主义计时工资

计时工资

计时工资

根据劳动者的技术熟练程度,劳动繁重程度,按照劳动者的实际有效工作时间来核算和支付报酬的工资形式。从历史发展过程看,计时工资也是采用最早的、最普遍的、最基本的形式,而且随着科学技术的发展,生产机械化、自动化程度的提高,生产持续性的增强,使得单独计量个人劳动成果的困难越来越大,因此,计时工资有不断扩大实施范围的趋势。采用计时工资形式,职工的工资收入固定,有利于职工生活的稳定,也有利于对工资总额实行有计划的控制。但计时工资也有局限性,主要表现在它同劳动成果的联系不够紧密。这是由于用时间来计量劳动,侧重于劳动的外延量即劳动时间,而对于劳动的内涵量即劳动强度却不能准确地计量和反映。此外,计时工资保障性过大,职工没有紧迫感和危机感,不能促使职工从物质利益关心自己的劳动成果,不利于调动职工的劳动积极性。

☚ 平均工资   计件工资 ☛
计时工资

计时工资

按照职工的劳动熟练程度、劳动强度和劳动时间长度确定和支付劳动报酬的一种工资形式。其数额由职工的工资标准和劳动时间来决定。根据计算工资的时间单位不同,可分为小时工资、日工资、周工资、月工资和年工资等。由于计时工资以固定的工资标准和时间长短来计算工资,往往不能确切反映出劳动者在某一特定时期所付出的实际劳动,所以实行计时工资需要不断评估劳动者的实际贡献,以便调整工资标准,确定合理的工资级别和工资级差,还需要通过奖金、津贴等工资的辅助形式进行补充,这样才能更好地把劳动者的劳动报酬同他们的劳动贡献联系起来。在我国,计时工资多采取月工资的形式。适宜采取计时工资的工作一般有: (1) 由职工个人或职工集体所完成的工作成果,不能直接反映出工作的努力程度和技术高低,或者在测定上有困难的场合,如事务性工作; (2) 作业速度受机械控制的场合,如传送带作业; (3) 工作极为重要,但最终成果与付出劳动的比例难以预料的场合,如科研创新工作。

☚ 实际工资   计件工资 ☛
计时工资

计时工资Time Wages

按照劳动者劳动熟练程度、劳动繁重程度和劳动时间长短计算并支付劳动报酬的一种工资形式。计时工资的数额取决于劳动者的工资标准和工作时间。工资标准由各岗位对劳动技能水平的要求和劳动强度决定,工作时间则取决于劳动者的出勤率和工时利用率。计时工资根据计算的时间单位不同而分为小时工资、日工资、周工资、月工资、年工资五种常见形式。我国主要采用月工资形式。计时工资是用劳动时间的长短来衡量劳动量的多少,简便易行,适用范围广泛,一般适宜于技术性强、机械化自动化程度高、产品操作复杂、工序多的岗位和一些脑力劳动者,如行政机关、事业单位人员和企业单位技术人员和管理人员。
〖参〗计件工资

☚ 计件工资   附加工资 ☛
计时工资

计时工资

按照职工的劳动时间来支付劳动报酬的一种工资形式。计时工资根据计算时间的单位不同,可以分为三种形式:
❶小时工资,即按职工的小时工资标准和实际工作的小时数计算工资。
❷日工资,即按职工日工资标准和工作日数计算工资。
❸月工资,即按职工月工资标准来计算工资。我国一般都采用月工资制,但对临时工或计算加班,扣除事、病假工资时需换算日工资标准,计算计件工资单价时需换算小时工资标准。计时工资的优点是简单易行,适应性强,实行的范围广,并能保证职工有稳定的收入。其缺点是不能及时反映职工劳动的数量、质量和效果。因此,通常企业在采用计时工资时都同时实行奖励制度。

☚ 升级面   巴黎公社工资原则 ☛
计时工资

计时工资

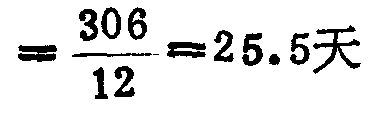
按照职工工作时间支付劳动报酬的工资形式。按照计算的时间单位不同,分为月工资、日工资、小时工资。月工资根据月工资标准按月支付工资。日工资是按本人工资标准除以每月应出勤天数(25.5天) 或平均每月日历天数(30天)支付工资。小时工资是按日标准工资除以每日应劳动小时数(8小时)支付工资。计时工资形式有: 简单计时工资、计时奖励工资等。

☚ 吨公里计件工资   计时奖励工资 ☛
计时工资

计时工资

按照劳动者的实际工作时间和劳动者的工资等级以及工资标准来支付劳动报酬的一种工资形式。即在一定时间内,根据劳动者的技术水平、劳动熟练程度等因素,先评定工资等级,然后按照实际工作时间计发相应的工资。目前,其基本构成是:(1) 对已做工作按计时工资标准支付的工资; (2)实行结构工资制的单位支付给职工的基础工资和职务(岗位) 工资; (3) 新参加工作职工的见习工资 (学徒的生活费); (4) 运动员体育津贴。计时工资一般分为: (1) 小时工资。即根据职工的小时工资标准和实际工作小时数计算工资。小时工资标准是以日工资标准除以日法定工作小时数求得。(2) 日工资。根据职工的日工资标准和实际工作日数计算工资。日工资标准的计算方法,一般按全年平均每月应出勤天数计算 (以25.5天除职工本人的月工资标准),或按平均每月日历天数计算 (以30天除职工本人的月工资标准)。(3) 月工资。根据规定的月工资标准支付工资。中国企业普遍采用月工资和日工资相结合的形式支付工资。当职工全勤时,按月工资标准支付工资,职工缺勤或加班时,按日工资标准减发或加发工资。由于时间是劳动的天然尺度,任何劳动均可直接用劳动时间来计量,因而计时工资具有适应性强、适用范围广、简单易行的优点。但计时工资不能准确反映具有同一技术等级的劳动者在劳动中实际付出的劳动量的差别,也不能反映出劳动者个别劳动消耗与社会必要劳动消耗的差别,从而使劳动报酬与劳动成果之间缺乏直接的联系。因此,企业在实行计时工资的同时,普遍实行浮动工资或奖励制度,以弥补计时工资的不足。随着企业生产过程自动化程度的提高,计时工资与奖金或浮动工资相结合,仍将成为企业工资的主要形式。

☚ 岗位工资   计时奖励工资 ☛

计时工资

time rate wages


计时工资

time (rate)wage;payment by the hour

随便看

 

文网收录3541549条中英文词条,其功能与新华字典、现代汉语词典、牛津高阶英汉词典等各类中英文词典类似,基本涵盖了全部常用中英文字词句的读音、释义及用法,是语言学习和写作的有利工具。

 

Copyright © 2004-2024 Ctoth.com All Rights Reserved
京ICP备2021023879号 更新时间:2026/1/16 14:13:11