网站首页  词典首页

请输入您要查询的字词:

 

字词 剑器近
类别 中英文字词句释义及详细解析
释义 剑器近

词牌名,属中吕宫,一属黄钟宫(《宋史·乐志》)。

唐朝有《剑器》舞曲,杜甫有诗《观公孙大娘舞剑器行》。宋朝教坊有《剑器曲》。

“近”,宋教坊曲体之一种,《剑器近》是截取《剑器曲》之一段改编而成的。其声调当与《剑器曲》相近(见《宋史·乐志》等著述)。

双调,只1体。96字,上阕8句8仄韵,下阕12句7仄韵。

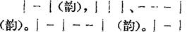
以袁去华《剑器近·夜来雨》为例,词谱如下:

随便看

 

文网收录3541549条中英文词条,其功能与新华字典、现代汉语词典、牛津高阶英汉词典等各类中英文词典类似,基本涵盖了全部常用中英文字词句的读音、释义及用法,是语言学习和写作的有利工具。

 

Copyright © 2004-2024 Ctoth.com All Rights Reserved
京ICP备2021023879号 更新时间:2025/10/18 14:36:03