劳地铵甲硫酸盐
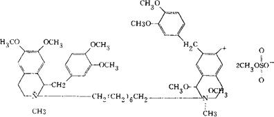
C54H80N2016S2=1077.35 CAS-3253-60-9 2,2′-癸烷双(1,2,3,4-四氢)-6.7-二甲氧-2-甲基-1-藜芦基异喹啉鎓甲基硫酸盐。 2,2′-Decamethylenebis(1,2,3,4-tetrahydro)-6,7-dimethoxy-2-methyl-1-veratrylisoquinolium methylsulfate. 2,2′-(1,10-癸烷二基)双[1-[(3,4-二甲氧苯基)-甲基]-1,2,3,4-四氢-6,7-二甲氧-2-甲基异喹啉鎓]甲基硫酸盐。 2,2′-(1,10-Decanediyl)bis[1-[(3,4-dimethoxyphenyl)methyl]-1,2,3,4-tetrahydro-6,7-dimethoxy-2-methylisoquinolium]methylsulfate. 消毒防腐药,神经肌肉阻断药,骨骼肌肉松弛药。 甲硫酸劳地铵,劳德力率。 Laudexium Methylsulfate,Laudexium Methyl,Sul fate,Laudissin,Landolissin. INN(Laudexium Metilsulfate),BAN(Laudexium Methylsulphate),USAN,MI.  |