匹那朵林
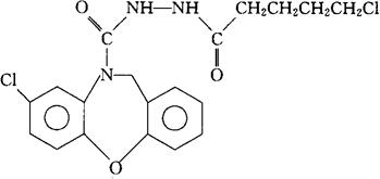
C19H19Cl2N3O3=408.28 CAS-38955-22-5 8-氯-二苯并[b,f][1,4]氧杂氮杂 -10(11H)-羧酸,2-(5-氯-1-氧代戊基)酰肼。 8-Chloro-dibenz[b,f][1,4]oxazepine-10(11H)-carboxylic acid,2-(5-chloro-1-oxopentyl)hydrazide. 1-[8-氯二苯并[b,f][1,4]氧杂氮杂 -10(11H)羰基]-2-(5-氯戊酰)肼。 1-[8-Chlorodibenz[b,f][1,4]oxazepin-10(11H)carbonyl]-2-(5-chlorovaleryl)hydrazine. 镇痛药,消炎药。 Pinadoline,SC-25469. INN,USAN.  |