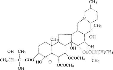
原藜芦碱 B
C41H63NO15=809.92 4α,9-环氧瑟瓦烷-3′4,6α,,7α 14,15α,16β,20-辛醇6,7-二醋酸酯3(S)-(2-3-二羟-2-甲基丁酸酯)15(R)-(2-甲基丁酸酯)。 4α,9-Epoxycevane-3′,4,6α,7α 14,15α,16β,20-octol-6,7-diacetate-3(S)-(2,3-dihydroxy-2-methylbutanoate)15(R)-(2-methylbutanoate). 抗高血压药。 Protoveratrine B,Neoprotoveratrine,Veratetrine. USAN,MI.  |