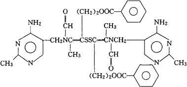
双苯酰硫胺
C38H42N8O6S2=770.92 CAS-2667-89-2 N,N′-[二硫双[2-(2-苯甲酰氧基乙基)-1-甲基亚乙烯基]]双[N-[(4-氨基-2-甲基-5-嘧啶基)甲基]甲酰胺]。 N,N′-[Dithiobis[2-(2-benzoyloxyethyl)-1-methylvinylene]]bis[N-[(4-amino-2-methyl-5-pyrimidinyl)methyl]formamide]. 维生素类药。 Bisbentiamine,Beprocin,Kestoben,Beston,Nestal. INN,USAN,MI.  |