网站首页  词典首页

请输入您要查询的字词:

 

字词 反函数
类别 中英文字词句释义及详细解析
释义 反函数

式子y=f(x)表示y是自变量x的函数,设它的定义域为A,值域为C,我们从式子y=f(x)中解出x,得到式子x=φ(y).如果y在C中的任何一个值,通过式子x=φ(y),x在A中有惟一的值和它对应,那么式子x=φ(y)就表示x是自变量y的函数.这样的函数x=φ(y),叫做函数y=f(x)的反函数,记作x=f—1(y).

1.反函数存在的条件

若函数y=f(x)的定义域为A,值域为C,且函数所确定的映射是A到C的一一映射,则该函数存在反函数.

2.原函数与反函数的关系

(1)函数y=f(x)的定义域、值域分别是反函数y=f—1(x)的值域、定义域.而反函数的定义域必须通过求原函数的值域得到.

(2)一般地,函数y=f(x)的图象和它的反函数y=f—1(x)的图象关于直线y=x对称.

(3)图象间的关系:y=f(x)与x=f—1(y)是同一图象,而y=f(x)与y=f—1(x)图象关于直线y=x对称.

3.求一个函数f(x)(x∈D)的反函数分三个步骤:

(1)由y=f(x)解出x=f—1(y);

(2)x、y位置互换,得到y=f—1(x);

(3)标明反函数定义域(即原函数值域).

4.两个有用的结论

(1)

(2)f[f—1(x)]=x,x∈f(x)的值域,

f—1[f(x)]=x,x∈f(x)的定义域.

5.函数与反函数的关系(如下表)

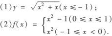
例1 求下列函数的反函数:

分析 按求反函数的方法分步求解.

易知在x≤—1时,函数是递减函数,存在反函数,对原式两端平方,得y2=x2+x,

且原函数的值域为{y|y≥0}.

故所求的反函数为

(2)当0≤x≤1时,—1≤x2—1≤0,

即—1≤y≤0.

由y=x2—1(0≤x≤1)得

当—1≤x<0时,02≤1,即0

由y=x2(—1≤x<0)得

综上所述

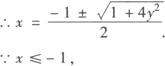
例2 若点(1,2)既在函数f(x)=的图象上,又在其反函数f—1(x)的图象上,试确定f(x)的解析式.

分析 利用互为反函数的两个函数图象之间的关系.

评析 由于互为反函数的函数图象关于直线y=x对称,因而点(1,2)在反函数f—1(x)的图象上时,其关于直线y=x的对称点(2,1)必在原函数的图象上.

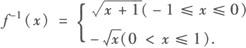
例3 已知,函数y=g(x)的图象与f—1(x+1)的图象关于直线y=x对称,求g(11)的值.

的反函数为f—1(x)=

∵y=g(x)的图象与y=f—1(x+1)的图象关于直线y=x对称,

∴y=g(x)与y=f—1(x+1)互为反函数.

随便看

 

文网收录3541549条中英文词条,其功能与新华字典、现代汉语词典、牛津高阶英汉词典等各类中英文词典类似,基本涵盖了全部常用中英文字词句的读音、释义及用法,是语言学习和写作的有利工具。

 

Copyright © 2004-2024 Ctoth.com All Rights Reserved
京ICP备2021023879号 更新时间:2026/3/17 16:24:56