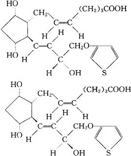
噻前列素
C20H28O6S=396.50 CAS-71116-82-0 (±)-Z-7-[(1R*,2R*3R*,5S*)-3,5-二羟-2-[(E)-(3R*S*)-3-羟-4-(3-噻吩氧基)-1-丁烯基]环戊基]-5-庚烯酸。 (±)-(Z)-7-[(1R*,2R*,3R*,5S*)-3,5-Dihydroxy2-[(E)-(3R*S*)-3-hydroxy-4-(3-thienyloxy)-lbutenyl]cyclopentyl]-5-heptenoic acid. 前列腺素类药。 Tiaprost,HR 837,Iliren. INN,USAN,MI.  |