网站首页  词典首页

请输入您要查询的字词:

 

字词 大陆度
类别 中英文字词句释义及详细解析
释义 大陆度

表示一地受大陆影响程度的气候指标。

通常以消除纬度影响后的气温年较差作为度量的标准。应用比较广泛的大陆度计算公式有:

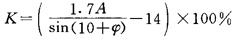
·焦金斯基公式:

V·康拉德公式:

式中K为大陆度指数;A为气温年较差(℃);φ为纬度。在大陆性气候极端的地方,如俄罗斯的维尔霍扬斯克K值为100%,在海洋性气候充分的地方K值为0。焦金斯基公式不适用于赤道地区,且海洋性极端的某些岛屿K为负值。

随便看

 

文网收录3541549条中英文词条,其功能与新华字典、现代汉语词典、牛津高阶英汉词典等各类中英文词典类似,基本涵盖了全部常用中英文字词句的读音、释义及用法,是语言学习和写作的有利工具。

 

Copyright © 2004-2024 Ctoth.com All Rights Reserved
京ICP备2021023879号 更新时间:2026/1/17 12:32:28