头孢米诺钠
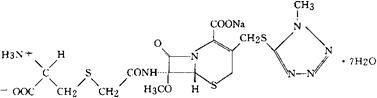
C16H20N7NaO7S3·7H2O=667.65 CAS-78345-56-9 (6R,7R)-7-[2-[[(S)-2-氨基-2-羧乙基]硫代]乙酰胺基]-7-甲氧-3-[[(1-甲基-1H-四唑-5-基)硫代]甲基]-8-氧代-5-硫杂-1-氮杂双环[4.2.0]辛-2-烯-2-羧酸钠。 (6R,7S)-7-[2-[[(S)-2-Amino-2-carboxyethyl]thio]-acetamido]-7-methoxy-3-[[1-methyl-1H-tetrazol-5-yl)thio]methyl]-8-oxo-5-thia-1-azabicyclo[4.2.0]oct-2-ene-2-carboxylic acid sodium salt. 抗生素类药,同头孢米诺。 Cefminox Sodium. 
|