完全消耗系数
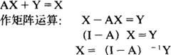
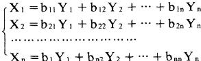
生产的目的是为了满足社会最终需求。 由最终需求出发制定国民经济生产计划是比较理想的方法。完全消耗系数正是表明生产一个单位最终产品对物资的消耗量。 有了完全消耗系数,就可以根据最终需求安排各部门的总产量。 完全消耗系数的计算比较复杂,要借助数学模型并运用电子计算机才能完成。 已知产品分配平衡的矩阵方程为:  式中:I是单位矩阵; (I-A)-1是(I-A)的逆矩阵。 如用bij表示(I-A)-1中的元素,即:  把矩阵方程X=(I-A)-1Y改写成一般方程组的形式就是;  这个方程组反映了社会最终需求与社会总产品之间的有机联系。 将确定了的社会需求Y1、Y2…Yn代入方程即可求得各部门应完成的总产量X1、X2…Xn。 bij就是第j部门提供一个最终产品对第i部门产品的完全消耗系数。 |