网站首页  词典首页

请输入您要查询的字词:

 

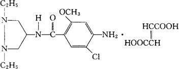
字词 富马酸达唑必利
类别 中英文字词句释义及详细解析
释义 富马酸达唑必利

C15H23ClN4O2·C4H4O4=442.90

CAS-81957-25-7

CAS-70181-03-2(dazopride)

4-氨基-5-氯-N-(1,2-二乙-4-吡唑烷基)邻茴香酰胺富马酸盐(1∶1)。

4-Amino-5-chloro-N-(1,2-diethyl-4-pyrazolidinyl)-o-anisamide fumarate(1∶1).

蠕动兴奋药。

Dazopride Fumarate.

USAN.

随便看

 

文网收录3541549条中英文词条,其功能与新华字典、现代汉语词典、牛津高阶英汉词典等各类中英文词典类似,基本涵盖了全部常用中英文字词句的读音、释义及用法,是语言学习和写作的有利工具。

 

Copyright © 2004-2024 Ctoth.com All Rights Reserved
京ICP备2021023879号 更新时间:2025/10/17 11:07:54