网站首页  词典首页

请输入您要查询的字词:

 

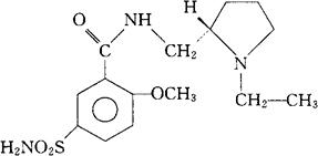
字词 左舒必利
类别 中英文字词句释义及详细解析
释义 左舒必利

C15H23N3O4S=341.43

CAS-23672-07-3

(-)-N-[[(S)-1-乙基-2-吡咯烷基]甲基]-5-氨磺酰-邻-茴香酰胺。

(-)-N-[[(S)-1-Ethyl-2-pyrrolidinyl]methyl]-5-sulfamoyl-o-anisamide.

止吐药。

Levosulpiride.

INN,USAN.

随便看

 

文网收录3541549条中英文词条,其功能与新华字典、现代汉语词典、牛津高阶英汉词典等各类中英文词典类似,基本涵盖了全部常用中英文字词句的读音、释义及用法,是语言学习和写作的有利工具。

 

Copyright © 2004-2024 Ctoth.com All Rights Reserved
京ICP备2021023879号 更新时间:2026/4/17 13:49:41