网站首页  词典首页

请输入您要查询的字词:

 

字词 布托碘胺
类别 中英文字词句释义及详细解析
释义 布托碘胺

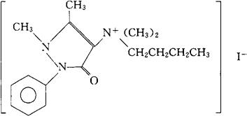
C17H26IN3O=415.32

CAS-7077-30-7

丁基二甲基(2,3-二甲基-5-氧-1-苯基-3-吡唑啉-4-基)-铵碘化物。

Butyldimethyl(2,3-dimethyl-5-oxo-1-phenyl-3-pyrazolin-4-yl)ammonium iodide.

镇痛药。

Butopyrammonium Iodide.

INN,USAN.

随便看

 

文网收录3541549条中英文词条,其功能与新华字典、现代汉语词典、牛津高阶英汉词典等各类中英文词典类似,基本涵盖了全部常用中英文字词句的读音、释义及用法,是语言学习和写作的有利工具。

 

Copyright © 2004-2024 Ctoth.com All Rights Reserved
京ICP备2021023879号 更新时间:2026/4/23 10:14:30