网站首页  词典首页

请输入您要查询的字词:

 

字词 接触干燥的干燥速率计算
类别 中英文字词句释义及详细解析
释义 接触干燥的干燥速率计算

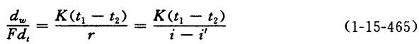
【公式】

式中 ——干燥速率[kg/(m2.h)]

F——干燥面积,即湿纸与烘缸表面接触的面积(m2)

K——总传热系数[KJ/(m2.h.℃)]

t1——缸内加热蒸汽温度(℃)

t2——缸面纸的温度(℃)

r——蒸发水汽的热含量(kJ/kg)

i——蒸汽的热含量(kJ/kg)

i′——缸内排出的冷凝水的热含量(kJ/kg)

i′=Ct (1-15-466)

C——水的比热[KJ/(kg.℃)],取C=4.1868

t——冷凝水的温度(℃)

其它同上

随便看

 

文网收录3541549条中英文词条,其功能与新华字典、现代汉语词典、牛津高阶英汉词典等各类中英文词典类似,基本涵盖了全部常用中英文字词句的读音、释义及用法,是语言学习和写作的有利工具。

 

Copyright © 2004-2024 Ctoth.com All Rights Reserved
京ICP备2021023879号 更新时间:2025/10/19 20:25:33