插值法
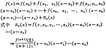
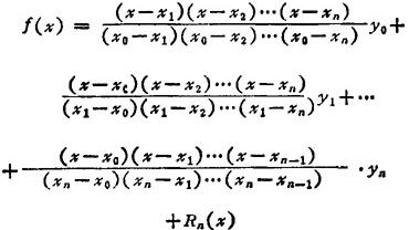
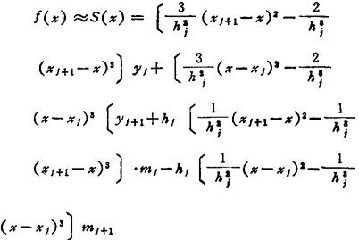
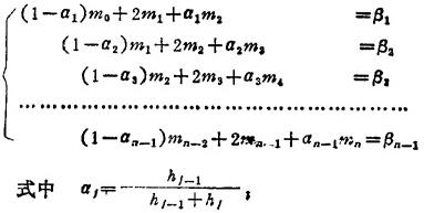
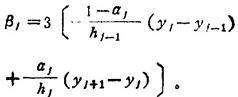
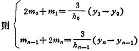
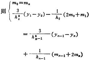
15.3.1 均差插值公式 插值点为x0<x1<…<xn,  (ξ在x0,xn和x中的最小值与最大值之间)。 15.3.2 拉格朗日插值公式  式中 Rn与15.3.1中Rn相同。 15.3.3 牛顿向前插值公式 适用于x接近a而大于a的情况。插值点为x0=a,x1=a+h,…,xn=a+nh。 f(x)=f(a+th)=y0+t△y0+ +…+ 式中   15.3.4 牛顿向后插值公式 适用于x接近于a而小于a的情况,插值点为 x-n=a-nh,x-(n-1)=a-(n-1)h,…x-1=ah,x0=a0 f(x)=f(a-th)=y0-t▽y0+ -…+(-1)“ +Rn(x) 式中 ; f)n+1)(ξ),(a-nh<ξ<a)。 15.3.5 三次样条插值函数 插值点为x0<x1<…<xn。区间〔x0,xn〕上y=f(x)的三次样条插值函数S(x)指的是满足下列三个条件的函数:1.在每一子区间〔xj,xj+1〕上S (x)都是三次多项式;2.S(xj)=f(xj)=yj,(j=0,1,2,…n),3.在〔x0,xn〕上S(x)有一至二阶连续导数(曲线光滑连接)。则在子区间〔xj,xj+1〕(j=0,1,2,…,n-1)上  式中 hj=xj+1-xj;mj=S′(xj)由下列方程组及其边界条件确定:   常见的几种边界条件为: ❶ 已知S′(x0)=m0,S′(xn)=mn ❷ 已知 ,  ❸ y=f(x)为周期函数,其基本周期为xn-x0,  |