普利霉素
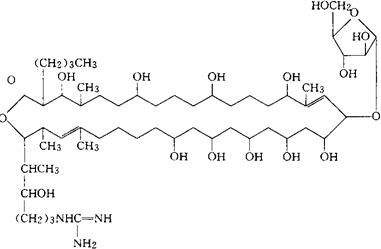
C55H103N3O17=1078.43 CAS-47917-41-9 CAS-30003-49-7 [5-[19-(α-D-阿拉伯呋喃糖基氧)-35-丁基-10,12,14.16,18,22,26,30,34-九羟-3,5,21,33-四甲基-36-氧代环氧己三十-4,20-二烯-2-基]-4-羟己基]胍。 [5-[19-(α-D-Arabinofuranosyloxy)-35-butyl-10,12,14.16,18,22,26,30,34-nonahydroxy-3,5,21,33-tetramethyl-36-oxooxacyclohexatriaconta-4,20-dien2-yl]-4-hydroxyhexyl]guanidine. 抗生素类药。 Primycin,Debrycin. INN,USAN,MI.  |