网站首页  词典首页

请输入您要查询的字词:

 

字词 普非沙酮
类别 中英文字词句释义及详细解析
释义 普非沙酮

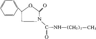
C13H16N2O3=248.28

CAS-34740-13-1

2-氧代-5-苯基-N-丙基-3-噁唑烷羧酰胺。

2-Oxo-5-phenyl-N-propyl-3-oxazolidi necarboxamide.

抗惊厥药,安眠药。

普非沙隆。

Profexalone.

INN,USAN.

随便看

 

文网收录3541549条中英文词条,其功能与新华字典、现代汉语词典、牛津高阶英汉词典等各类中英文词典类似,基本涵盖了全部常用中英文字词句的读音、释义及用法,是语言学习和写作的有利工具。

 

Copyright © 2004-2024 Ctoth.com All Rights Reserved
京ICP备2021023879号 更新时间:2025/10/17 14:44:02