替莫西林二钠
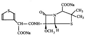
【化学名称】6β-2(-羧基-2-噻吩-3-基乙酰胺基)-6α-甲氧基青霉烷酸二钠 【化学结构】  【药理作用】本品为耐β-内酰胺酶的半合成青霉素。通过干扰细菌细胞壁的合成而产生杀菌作用。其抗菌谱包括除绿脓杆菌以外的需氧革兰阴性菌。特别对肠杆菌科如大肠杆菌、沙门氏菌属、志贺氏菌属、肺炎杆菌、变形杆菌、肠杆菌属、粘质沙雷氏菌和柠檬酸杆菌都有良好的抗菌作用。 【药代动力学】肌肉注射后2h,血药浓度达峰值。蛋白结合率约为85% 。本品以原形药物通过肾脏和胆道排除,排泄率分别为80% 和10% ,半衰期长达5h。 【适应证】尿路感染、呼吸道感染、败血症、腹膜炎、手术后创口感染和脓肿、胆道感染和淋病。 【剂量与用法】肌肉注射,成人每12h肌注0.5~1 g。 【不良反应】偶见皮肤瘙痒、恶心、呕吐、腹泻等。 【注意事项】禁用于对青霉素过敏者。肾功能不全者须减 【化学结构】少剂量。妊娠期及授乳期妇女用药尚无经验。 【制剂规格】注射剂:每小瓶含本品500 mg或1000 mg。 |