网站首页  词典首页

请输入您要查询的字词:

 

字词 最大似然法
类别 中英文字词句释义及详细解析
释义 最大似然法

一种常用的参数估计方法。

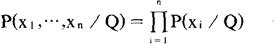
这种方法是使观察样本出现的概率为最大来估计总体参数。设从概率分布为P(x/Q)的总体中抽取随机样本(X1,X2……Xn),用以估计总数参数Q。由于Xi相互独立,样本的联合概率为:

最大似然法就是使这个概率最大来确定Q。

最大似然法在大样本条件下具有渐近有效、一致等优良特性,但是这种方法以预知总体的分布形态为前提。

随便看

 

文网收录3541549条中英文词条,其功能与新华字典、现代汉语词典、牛津高阶英汉词典等各类中英文词典类似,基本涵盖了全部常用中英文字词句的读音、释义及用法,是语言学习和写作的有利工具。

 

Copyright © 2004-2024 Ctoth.com All Rights Reserved
京ICP备2021023879号 更新时间:2026/4/18 14:16:07