网站首页  词典首页

请输入您要查询的字词:

 

字词 最小平方法
类别 中英文字词句释义及详细解析
释义 最小平方法

又称最小二乘法。

趋势预测中常用的一种数字(数理统计)方法。最小平方法,是在回归分析(回归直线法)中常用的一种求解回归方程的方法。设以产量为自变量,成本为因变量,它们之间基本上成线性关系,可用直线方程式表示为:

y=a+bx

上式中,y代表总成本;a代表固定成本;b代表单位变动成本;x代表产量,利用这个方程式,可以使人们认识和掌握成本在一定条件下增减变动趋势和基本规律性。

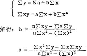
为了确定上述方程式中a和b的值,可运用如下方程组,加以求解:

随便看

 

文网收录3541549条中英文词条,其功能与新华字典、现代汉语词典、牛津高阶英汉词典等各类中英文词典类似,基本涵盖了全部常用中英文字词句的读音、释义及用法,是语言学习和写作的有利工具。

 

Copyright © 2004-2024 Ctoth.com All Rights Reserved
京ICP备2021023879号 更新时间:2026/4/17 14:01:03