网站首页  词典首页

请输入您要查询的字词:

 

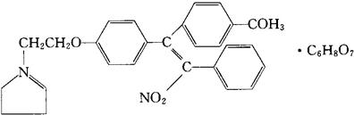
字词 枸橼酸硝米芬
类别 中英文字词句释义及详细解析
释义 枸橼酸硝米芬

C27H28N2O4·C6H8O7=636.65

CAS-5863-35-4

1-[2-[对-[α-(对-甲氧苯基)-β-硝基苯乙烯基]苯氧]乙基]吡咯烷枸橼酸盐(1∶1)。

1-[2-[p-[α(p-Methoxyphenyl)-β-nitrostyryl]phenoxy]ethyl]pyrrolidine citrate(1∶1).

抗雌激素药。

Nitromifene Citrate.

USAN.

随便看

 

文网收录3541549条中英文词条,其功能与新华字典、现代汉语词典、牛津高阶英汉词典等各类中英文词典类似,基本涵盖了全部常用中英文字词句的读音、释义及用法,是语言学习和写作的有利工具。

 

Copyright © 2004-2024 Ctoth.com All Rights Reserved
京ICP备2021023879号 更新时间:2025/10/18 22:06:04