网站首页  词典首页

请输入您要查询的字词:

 

字词 模态灵敏度分析
类别 中英文字词句释义及详细解析
释义 模态灵敏度分析

结构振动模态参数灵敏度分析主要指对结构固有振动频率和振型关于结构设计参数的导数的计算分析,它作为解决结构动力学修改重分析和重设计、振动控制系统设计分析、振动系统辨识、动力学分析模型修正及结构故障的振动诊断等振动工程问题的一个重要理论工具,受到广泛的重视。

在结构动力学修改中,通过模态灵敏度分析,可以得知在结构上何处修改哪种参数可以最有效地移动某阶固有振频和/或减小指定位置处的某阶模态位移,从而可确定最优修改措施,并可定量地预测结构修改的效果。在模态灵敏度分析的基础上,建立结构动态特性优化设计的数学模型,可减少设计变量的数目而缩小问题的规模;在优化计算过程中,通过灵敏度分析,可指示设计变量的最优修改方向,并可利用灵敏度计算结果对模态参数进行高效近似重分析,从而显著地提高优化计算效率。

结构振动特征值问题的一般形式为

AxiiBxi (1)

(2)

(3)

其中A、B一般为对称的n×n实矩阵,假定它们是设计变量(结构参数)v的显式函数;λi为第i阶特征值(固有振频的度量),yi和xi分别为第i阶左、右特征向量(固有振型)。模态(特征)灵敏度分析理论的基本问题是确定特征值λi和特征向量xi、yi对于设计变量v的变化,即矩阵A、B的元素变化的灵敏度(导数)。

早在1846年,雅可比(C.G.J.Jacobi)就提出计算矩阵特征值导数的问题,并给出一个特殊情形即A为对称阵且B为单位阵I时的结果

自那时以来,许多学科领域的众多学者先后为特征灵敏度分析理论的建立、改进和应用做出一系列的贡献。他们从各种不同领域的理论问题出发,采用各种不同的分析方法,得出了以各种不同形式表达的结果。

在不同的学科中,对特征灵敏度分析问题往往是从不同的角度进行研究的,因此它既被视为数值分析理论的一个问题,又被看作摄动理论的一个方面,还被作为线性系统理论的一个部分。

1964年,兰恩卡斯特尔(P.Lancaster)对特征值导数做了严格的处理,尤其指出重特征值的导数本身仍是一个低阶辅助特征值问题的解。这是重特征值及其特征向量灵敏度(摄动)分析技术的一个重要特点,然而这一发现实际应归功于量子力学家薛定谔(E.Schrödinger),他早在1926年就建立了重特征值摄动分析方法的这一理论基础。威尔金森(J.H.Wilkinson)1965年也仔细研究了重特征值的摄动性态。此后又有辛普森(A.Simpson,1976)和豪格(E.J.Haug)等(1980~1982)探讨过重特征值灵敏度问题,阐明了多重特征值只是方向可微的事实。胡海昌进一步对相异、相重和相近特征值的摄动问题分别做了较系统的研究(1981,1983,1987)。

钟万勰和程耿东则基于瑞雷(Rayleigh)商驻值原理推导了重特征值灵敏度的一种算式(1985)。

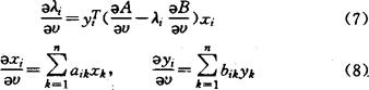
1968年福克斯(R.L.Fox)和凯普厄(M.P.Kapoor)建立了A、B为对称阵时特征值导数的算式

并提出了计算特征向量导数的两种方法:其一是直接解一奇异的非齐次代数方程组,所建议的消除奇异性的代数处理措施将使系数矩阵失去可能具有的带状性;其二是把特征向量导数在特征向量空间展开,即令

系数aik可通过对式(1)求导并将式(6)代入求得。虽然理论上要求此展开式包括全部n个特征向量,但可以证明,只采用较少的特征向量也可获得较好的结果。罗杰斯(L.C.Rogers,1970)和斯坦沃特(G.W.Stewart,1972)推导了一般问题(方程(1)(2))的特征值和特征向量灵敏度算式

系数αik和bik可通过方程(1)、(2)及特征向量的正规化条件求导并将式(8)代入来确定。

普劳特(R.H.Plaut)和候赛因(K.Husseyin,1973)、鲁迪西尔(C.S.Rudisill)(1974)和道蒂(S.Doughty,1982)等也先后得出了同于罗杰斯的结果,另外还建立了特征值的二阶导数公式。一般问题的特征向量的二阶导数公式是由泰勒(D.L.Taylor)和凯恩(T.R.Kane,1975)等建立的,但克罗斯雷(T.R.Crossley)和波特(B.Porter)1969年已推导出了在B=I的情况下特征值和特征向量的二阶灵敏度算式。

由于特征值和特征向量一般是设计参数的非线性函数,所以它们的高阶、尤其二阶导数往往是必要的,因此也受到后来的许多研究者的重视。加格(S.Garg)1973年探讨了A、B为复矩阵时特征值和特征向量的导数计算问题,其结果与福克斯和凯普厄的相类似。

范贝勒(H.Van Belle)还把电网络分析中的伴随结构理论推广移植到机械结构灵敏度分析中(1974.1976,1978,1982),建立了模态参数的二阶灵敏度算式。

范霍奈克(P.Vanhonacker)1980年进一步将其推广到阻尼振动问题。这种特殊的模态灵敏度分析方法的一个优点是,可适用于改变结构构形的结构修改问题。

计算特征向量导数的另一种代数方法较早由纳尔逊(R.B.Nelson)提出(1976),被称为纳尔逊方法,然而在罗姆斯坦德(K.M.Romstad)等1973年的论文中已从摄动分析角度介绍过这一方法。

对特征值问题(1)求导,有

其中矩阵A-λiB是奇异的。纳尔逊方法是把特征向量导数表示成

并对方程(9)进行约简,即令A-λiB的第m行和第m列非对角元全部为零,同时将ui和方程右端向量的第m元置零(m为xi的最大元序号)。

然后解此方程即得ui,系数ci则可通过对此特征向量的正规化条件xiTBxi=1求导并将式(10)代入而得到。

这种方法的优点在于:它只用到需求导的特征值及其右特征向量,而且保持了方程系数矩阵可能具有的带状性,当只求少数几个特征向量导数时具有较高效率。

奥杰尔沃(I.U.Ojalvo)1986年把纳尔逊方法推广到重特征值情形,取得了部分结果,米尔斯-柯赖恩(W.C.Mills-Curran)接著完成了这一推广(1988),后者发现在确定属于重特征值的特征向量的第一阶导数时必须利用第二阶导数方程。这是重特征值的特征向量灵敏度(摄动)分析技术的又一重要特点,早在拜伦(F.W.Byron)和富勒(R.W.Fuller)1969年的书中即已对此做过较详细的讨论。戴雷(R.L.Dailey)稍后于米尔斯-柯赖恩也做了同样的工作(1989)。庄(J.N.Juang)等(1989)和吕振华(1990)对重特征值的特征向量灵敏度(摄动)分析方法做了进一步的阐述。

卡丹尼(C.Cardani)和曼特甘泽(P.Mantegazza,1979)、蔡则彪和郑铁生(1991)等也对纳尔逊方法做过探讨和改进。

纳尔逊方法虽可节省计算量,但需对方程做较为复杂的代数处理。因此,胡海昌1987年提出了一种可更简便地消除方程(9)的奇异性的一般处理方法,即只需将特征向量的正规化条件所提供的补充方程叠加到特征向量导数(摄动)方程上即可。这尤其适用于非带状系数矩阵情形,而且对于重特征值情形也一样简便。

另一方面,计算特征向量导数的特征向量展开方法(也称模态方法)的效率也可设法提高,如可有效地利用模态截断技术,还可仿照结构振动响应分析的模态加速度法的伪静态响应修正技术来提高展开式的收敛速度,这便是王(B.P.Wang)1985年提出的改进模态方法,它在许多方面可与纳尔逊方法一类的代数方法相媲美,尤其对于稠密系数矩阵问题更是如此。

计算特征向量导数的方法除上述模态(展开)方法(又称伴随方法)和代数(直接)方法外,还有一类(代数)迭代方法,它是由鲁迪西尔和丘(Y.Chu)1975年首先提出的,安德鲁(A.L.Andrew)对其做了改进和推广(1978,1979)。此类方法曾被认为是低效无用的,但后来经过泰恩(R.C.E.Tan,1986~1989)、泰恩和安德鲁(1989)的改进,采用了一些加速收敛的外推算法,使其效率和精度均有显著提高,大大增强了它与直接方法的竞争力,并且当只求少数几阶特征向量导数时,它往往优于模态展开方法。

特征向量导数的模态展开计算方法虽在效率和精度方面均不具有绝对优势,但它在重特征值问题以及特征亏损问题的灵敏度(摄动)理论分析上的重要性,是其它各种方法都不可比的。作为这一方法的发展,利姆(K.B.Lim)和庄等1989年提出了利用奇异值分解技术来计算重特征值的特征向量导数的方法,开辟了解决这一问题的一个新途径。当不能完全确定出重特征值的特征子空间的基或其重数未知甚至不定时,借助于这种奇异值分解方法,能可靠地确定所需的各个子空间的基。

应用上述各种模态灵敏度分析方法,即可计算结构振动的各个模态参数对结构上各部分的各种设计参数的灵敏度数值,进而确定较灵敏的(或不灵敏的)设计参数及其位置。但是,对于大型或复杂结构,这种大范围的搜索计算要花费很多计算量,或者难以对整个结构进行完整的灵敏度分析,因此可能导致遗漏最灵敏点,影响灵敏度分析结果的可靠性。

为克服这一困难,吕振华等基于模态展开方法,建立了关于结构固有振频和振型对结构质量和刚度的灵敏度的一系列定性分析结论(1988,1989,1991),分别给出了对低阶(低频)和高阶(高频)模态参数影响最灵敏的各种结构参数(集中质量、内部连接刚度、边界约束刚度)及其位置等重要信息,在一定程度上揭示了结构固有振动特性设计的最优动力学修改原理。这一原理对解决振动控制工程中的结构动力学修改和动态优化设计问题等具有直接的指导意义。

根据定性灵敏度分析的结果再进行数值灵敏度分析,可大大节省计算量。此外,应用动态子结构模态综合方法,将结构动力学分析模型缩聚后再做模态灵敏度分析,也可有效地提高计算效率。

1991年赫奥(J.H.Heo)和艾曼(K.F.Ehmann)进一步提出了根据子结构模态及其灵敏度,来确定整体结构模态灵敏度的子结构模态灵敏度综合方法。

上述研究都是基于结构的离散化(有限元或集中参数)模型的。至于连续型(分布参数)模型的模态灵敏度(摄动)分析方法,也已进行过较为系统的研究,可参阅法沙德(M.Farshad,1974)、斯坦特森(K.A.Stetson,1975)、豪格(E.J.Haug)和罗赛莱特(B.Rousslet,1980)、雷斯(R.Reiss,1986)、哈弗特克(R.T.Haftka)等(1990)年的论文及豪格、乔伊(K.K.Choi)和科姆科夫(V.Komkov,1986)、胡海昌(1981,1984)的专著。

然而,在基于边界元模型的结构模态灵敏度分析方面,还处于初期研究阶段。

模态灵敏度分析是结构动力学的一种多用途分析技术,对它的深入研究和广泛应用已成为一个富有成果的领域,并且还在发展之中。例如,在模态灵敏度分析的基础上还可进行频率响应函数和受迫振动响应的灵敏度分析,约希穆拉(M.Yoshimura,1984)、纳兰兹(A.G.Nalecz)和温彻尔(J.Wicher,1988)、夏普(R.S.Sharp)和布鲁克斯(P.C.Brooks,1988)等对机械结构系统频率响应函数灵敏度分析的研究是这方面的代表性工作。

再如,具有随机参数的结构的模态参数和动态响应统计分析也须以模态灵敏度分析为基础,宋恩(T.T.Soong)和鲍格达诺夫(J.L.Bogdanoff,1963~1964)、柯林斯(J.D.Collins)和汤姆森(W.Thomson,1967~1969)、哈塞尔曼(T.K.Hasselman)和哈特(G.C.Hart,1972)等是这一问题的早期主要研究者,他们的工作引起许多人的兴趣,随后20余年间取得了一系列进展。1991年,希恩(T.D.Hien)和克莱伯尔(M.Kleiber)进一步对随机结构动态响应的设计灵敏度分析问题进行了研究。

又如,在受控结构的动力学分析中以及当应用动态有限元方法或和动态子结构模态综合法进行大型复杂结构设计分析时,都需要进行非线性特征值问题的模态灵敏度分析,这是尚需广泛探索的一个研究方向。

。【参考文献】:

1 AdelmanHM.HaftkaRT.AIAA J. , 1986,(5):823~832

2 Haug E J. Choi K K, Komkov V. Desing Sensitivity Analysis of Structural Systems, Florida: Academic Press, Inc. , 1986

3 Lim K B, Junkins J L, Wang B P. J. Guidance, 1987,10 (6):581~587

4 Murthy D V, Haftka R T. Int J. Numer. Methods Eng. , 1988,26:293~311

5 Sutter T R, Camarda C J, Walsh J L.Adelman H M. AIAA J. 1988,26(12):l506~1511

(吉林工业大学吕振华教授撰)

随便看

 

文网收录3541549条中英文词条,其功能与新华字典、现代汉语词典、牛津高阶英汉词典等各类中英文词典类似,基本涵盖了全部常用中英文字词句的读音、释义及用法,是语言学习和写作的有利工具。

 

Copyright © 2004-2024 Ctoth.com All Rights Reserved
京ICP备2021023879号 更新时间:2025/10/18 15:24:31