欧拉方程
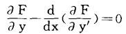
是解变分问题的一个基本工具,它给出泛函极值存在的一阶必要条件。 设J(y)是定义于某集D上的一个泛函,D含于某个函数空间y。对给定y∈D,若对任何h∈y,导数:  存在,则说泛函J在y处存在变分,且称映射 h→δJ(y,h) 为J在y的变分,记作δJ(y)。 若J(y)在某点y*∈D取得极值且变分存在,则必定δJ(y*)=0,即y=y*满足方程: δJ(y)=0 (*) 方程(*)就是关于J的欧拉方程。因此,求泛函J(y)的极值点归于解欧拉方程(*),这正是欧拉方程意义之所在。 在很多具体问题中,泛函J(y)通常表为某个积分,而欧拉方程则可转化为一个微分方程。例如,设  其中F是已知的二次可微函数,则相应的欧拉方程可化为  这是一个关于未知函数y的二阶常微分方程。 |