网站首页  词典首页

请输入您要查询的字词:

 

字词 毛细管内液柱高度的计算
类别 中英文字词句释义及详细解析
释义 毛细管内液柱高度的计算

【公式】

式中 H——毛细管内液柱高度(m)

σ——黑液的表面张力(N/m)

γ——黑液的重度(N/m3)

d——毛细管直径(m)

P——毛细管内液柱压力(Pa)

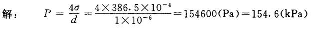
【例】 以麦草浆为例,15C时,29.5°Bé黑液的表面张力为386.5×10-4N/m,毛细管直径为1μm,求毛细管内压力为多少时,可将蒸煮废液挤压出来。

随便看

 

文网收录3541549条中英文词条,其功能与新华字典、现代汉语词典、牛津高阶英汉词典等各类中英文词典类似,基本涵盖了全部常用中英文字词句的读音、释义及用法,是语言学习和写作的有利工具。

 

Copyright © 2004-2024 Ctoth.com All Rights Reserved
京ICP备2021023879号 更新时间:2026/4/22 13:03:31