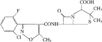
氟氨西林[中]
C10H17ClFN3O5S=453.87 CAS-5250-39-5 3-(2-氯-6-氟苯基)-5-甲基-4-异噁唑基青霉素。 3-(2-Chloro-6-fluorophenyl)-5-methyl-4-isoxazolylpenicillin. 6-[[3-(2-氯-6-氟苯基)-5-甲基-4-异噁唑基]甲酰胺基]-3,3-二甲基-7氧代-4-硫杂-1-氮杂双环[3.2.0]庚烷-2-羧酸。 6-[[3-(2-Chloro-6-fluorophenyl)-5-methyl-4-isoxazolyl]carboxamido]-3,3-dimethyl-7-oxo-4-thia-1-arabicyclo[3.2.0]heptane-2-cazboxylic acid. 抗生素类药。 邻氟氯西林。 Floxacillin,Floxapen,Flucloxacillin,Flupen,BRL-2039,Penplus. INN,BAN,BP,DCF,DCIT,JAN,NFN,USAN,MI. 
|