网站首页  词典首页

请输入您要查询的字词:

 

字词 氢化麦角毒碱
类别 中英文字词句释义及详细解析
释义 氢化麦角毒碱

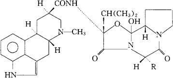
C31H41N5O5(dihydroergocornine=563.69

C35H41N5O5(dihydroergocristine)=611.73

C32H43N5O5(dihydro-α-ergocryptine)=577.71

C32H43N5O5(dihydro-β-ergocryptine)=577.71

CAS-11032-41-0

(5′α,10α)-9,10-二氢-12′-羟-2′,5′-双(1-甲基乙基)麦角胺-3′,6′,18-三酮与9,10α-二氢-12′-羟-2′-(1-甲基乙基)-5′α-(1-苯甲基)麦角胺-3′,6′,18-三酮,9,10α-二氢-12′-羟基-2′-(1-甲基乙基)-5′α-(2-甲基丙基)麦角胺-3′,6′,18-三酮和9,10α-二氢-12′-羟基-2-(甲基乙基)-5′α-(1-甲基丙基)麦角胺-3′,6′,18-三酮的混合物。

(5′α,10α)-9,10-Dihydro-12′-hydroxy-2′,5′bis(1-methylethyl)ergotaman-3′,6′,18-trione mixtur with 9,10α-dihydro-12′-hydroxy-2′-(1-methylethyl)5′α-(phenylmethyl)ergotaman-3,′6,′18-trione,9,10α-dihydro-12′-hydroxy-2′-(1-methylethyl)-5′α-(2-methylpropyl)ergotaman-3′,6′,18-trione and 9,10α-dihydro-12′-hydroxy-2′-(methylethyl)-5′α-(1-methylpropyl)ergotaman-3′,6′,18-trione.

二氢麦角毒碱。

Dihydroergotoxine.

等分的二氢麦角可宁,二氢麦角克利斯汀的混合物,其中二氢α-麦角隐亭及二氢β-麦角隐亭的比例为1.5~2.5∶1。

An equiproportional mixture of dihydroergocornine,dihydroergocristine and ratio of dihydro α-ergocryptine to dihydro-β-ergocryptine is 1.5~2.5∶1.

血管扩张药。

用于周围血管、大脑、视网膜等血管循环失调及高血压冠状动脉机能不全、心绞痛等疾病,亦可用于需冬眠疗法的患者。

氢化麦角碱,海特琴,安得静。

Ergoloid,Dihydroergotoxine.

氢化麦毒碱注射液(安得静注射液)。

Ergoloid,Dihydroergotoxine,Hydergineredergam.

Dihydroergocornine

Dihydroergocristine

Dihydro-α-ergocryptine -CH2CH(CH3)2

Dihydro-β-ergocryptine

CH(CH3)CH2CH3

随便看

 

文网收录3541549条中英文词条,其功能与新华字典、现代汉语词典、牛津高阶英汉词典等各类中英文词典类似,基本涵盖了全部常用中英文字词句的读音、释义及用法,是语言学习和写作的有利工具。

 

Copyright © 2004-2024 Ctoth.com All Rights Reserved
京ICP备2021023879号 更新时间:2026/5/31 21:23:06