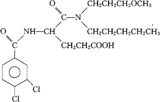
氯谷胺
C21H30Cl2N2O5=461.39 CAS-107097-80-3 (±)-4-(3,4-二氯苯甲酰胺基)-N-(3-甲氧丙基)-N戊基戊二氨酸。 (±)-4-(3,4-Dichlorobenzamido)-N-(3-methoxypropyl)-N-pentylglutaramic acid. 4-[(3,4-二氯苯甲酰基)氨基]-5-[(3-甲氧丙基)-戊氨基]-5-氧代戊烷酸。 4-[(3,4-Dichlorobenzoyl)amino]-5-[(3-methoxypropyl)-pentylamino]-5-oxopentanoic acid. 胃肠功能改善药,激胆囊素抑制药。 Loxiglumide,CR 1505. INN,USAN.  |