网站首页  词典首页

请输入您要查询的字词:

 

字词 沙苑子
类别 中英文字词句释义及详细解析
释义 沙苑子

【概况】:

异名 沙苑蒺藜(《本草图经》),沙苑蒺藜子(《本草求原》),夏黄草(《吉林中草药》)。

基源 为豆科黄芪属植物扁茎黄芪或华黄芪,以及直立黄芪等的种子。

原植物 正品沙苑子通常为扁茎黄芪Astragalus complanatus R.Br.,又名大沙苑、蔓黄芪(陕西),其它2种植物华黄芪Astragalus chinensis L.(Astragalus sinensis L.),又名芒牛旦(河北)。

紫云英Astragalus sinicus L.在部分地区也作沙苑子用。另猪屎豆Crotalaria mucronata Desv.。凹叶野百合Crotalaria resusa L.。崖州野百合Crotalaria yaihsienensis T.Chen及田皂角Aeschynomene indica L.在部分地区混作沙苑子、土沙苑、假沙苑药用。

应注意鉴别,以免造成不良后果。

历史 本品始见于《临症指南医案》曾以白蒺藜、沙苑白蒺藜、沙苑蒺藜、潼蒺藜等名称收入历代诸家本草。

唐《药性本草》谓:“白蒺藜……形如羊肾、圆而细,色如绿豆,嚼之作绿豆腥气,为末煎之,则香同新茶者真。”《纲目》载:“白蒺藜结荚长寸许,内子大如脂麻,状如羊肾而带绿色,今人谓之沙苑蒺藜。”上述历代本草所载均与扁茎黄芪的描述相符,即今之本品。

形态 扁茎黄芪为多年生草本,高30~100cm,植株被毛。

主根粗壮,表皮暗褐色。茎多分枝、斜升。

单数羽状复叶,托叶披针形,长0.3~0.4cm,宽0.5~0.6cm;小叶9~12,椭圆形,长0.7~2cm,宽0.3~0.8cm,先端微凹,具刺尖,基部圆形,下面密被白色短柔毛。

总状花序腋生,花3~9;花萼钟状,长约0.7cm,萼齿5,披针形,与萼筒等长;小苞片2;花冠黄色、白色或淡紫色,旗瓣近圆形,先端凹,长约1cm;翼瓣与龙骨瓣均短于旗瓣;二体雄蕊(9:1);子房圆柱形,胚珠多数,有子房柄,花柱弯曲,柱头被髯毛。

荚果长圆纺锤形,长2~3.5cm、宽0.6~0.8cm,表皮被黑色短硬毛,先端具喙;种子20~30,肾形,长约0.2cm、宽约0.15cm,灰褐色或深棕色,有光泽。花期7~9月,果期8~10月。(图见《中药志》.第3卷.412页.图261)

生境与分布 生于干旱山地阳坡灌丛及微碱性草地。分布于中国东北、华北、西北。

华黄芪与扁茎黄芪的主要区别在于:为单数羽状复叶,托叶窄披针形或近三角形,长0.7~1cm;小叶21~31,长圆形或近椭圆形,长0.6~2cm,宽0.3~0.9cm,基部宽楔形或近圆形,先端钝圆,具刺尖,下面被疏柔毛。荚果椭圆形或倒卵圆形,长1~1.3cm,宽0.7~1cm,膨胀,表皮革质、密布皱摺,具短喙,二室开裂。花果期6~8月。(图见《中药志》.第3册.第2版.413页.图262)

生于沙丘、砾地、河岸、草甸草原,为旱生植物、耐盐碱。

分布于中国华北、东北黄土高原。原苏联远东地区亦有分布。紫云英与扁茎黄芪、华黄芪的主要区别在于;一年生草本,野生茎葡卜;花5~9朵,集合腋生伞形总状花序;野生或栽培。(图见《中国高等植物图鉴》.第2册.422页.图2574)分布于湖南、湖北、江西、江苏、浙江、福建、广东、广西、河南、陕西、四川、贵州、云南。。【生药】:

栽培 对气候、土壤的适应性强,能耐寒、耐旱,忌水涝。

宜温暖通风透光的环境,一般壤土均可栽培。忌连作。用种子繁殖,于秋季8月或春季4月播种。

条播、穴播均可。

条播按行距33cm开浅沟,深2~3cm,将种子匀撒沟内,覆土浇水,每亩用种量1~1.5kg。出苗后间苗1~2次,按株距10~13cm定苗,生长期间注意中耕除草和追肥,入冬前宜用厩肥或堆肥铺盖地面,结合松土进行培土过冬。

病害有白粉病,可用50%托布津可湿性粉剂1000倍液喷雾防治。

采集 秋末冬初果实成熟而尚未开裂时连茎割下,晒干后打下种子,去净杂质,再晒干。

扁茎黄芪种子主产于陕西、山西。华黄芪种子主产于河北。

鉴别

性状 ❶ 扁茎黄芪种子圆肾形或肾形,稍扁,两端钝圆,长2~2.5mm,宽1.5~2mm,厚约1mm;表面灰褐色或绿褐色,腹而凹陷处有种脐,圆形。质坚硬,不易破碎,破开后可见子叶2枚,淡黄色,胚根弯曲,长约1mm。

无臭,味淡,嚼之有豆腥气。以粒饱满、色绿褐者为佳。

❷ 华黄芪种子为较规则的肾形,饱满,长2~2.8mm,宽1.8~2mm,厚约1mm;表面暗绿色或棕绿色。

胚根长1mm。

以粒饱满、均匀,无杂质者为佳。

显微 ❶ 扁茎黄芪种子横切面:最外为1列栅状细胞,种脐部位有2列,外被角质层,栅状细胞径向35~50μm,直径7~10μm,壁自内向外渐增厚,且于上端有纵向纹理,靠外部1/6处有一条光辉带,表面观呈多角形,上部细胞腔呈裂缝状,下部细胞腔呈椭圆形或多角形。栅状组织内侧为1列支柱细胞,呈哑铃状,径向20~25μm,基部宽25~45μm,上端宽15~25μm,中央最狭处14~24μm,表面观呈3个近圆形或椭圆形的同心环。营养层为5~9列薄壁细胞或呈压缩的颓废细胞,无色。子叶薄壁细胞内含大量脂肪油。(图见《中药志》.第3册.第2版.414~415页.图263.264)❷ 华黄芪种子种皮横切面:栅状细胞径向38~58μm,直径7~12μm。

支柱细胞径向22~28μm,基部宽35~50μm,上端宽25~35μm,中央最狭处15~30μm。(图见同上)

加工炮制 盐制沙苑子 取净沙苑子,用盐水拌匀或喷洒均匀,闷透,用文火炒干,取出,放凉。

每100kg沙苑子,用食盐2kg。

贮藏 置通风干燥处,盐沙苑子密闭保存。。

【化学】:

含Co、Cr、Zn、Cu、Mn、Fe、Se[1]、Ni、Mo[2]等元素和含赖氨酸、天冬氨酸、苏氨酸、丝氨酸谷氨酸、脯氨酸、甘氨酸、丙氨酸、胱氨酸、蛋氨酸、异亮氨酸、亮氨酸、酪氨酸和苯丙氨酸等氨基酸(总氨基酸含量为干种子的4.245%)[3]

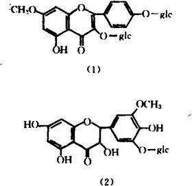
还含β-谷甾醇及庚烯酸,十四酸(肉豆蔻酸)、十五酸、十六酸(棕榈酸)、十八酸(硬脂酸)、十八烯酸(油酸)、十八二烯酸(亚油酸)、十八三烯酸(亚麻酸)、二十酸(花生酸)、二十烯酸、二十二烯酸(山萮酸)等脂肪酸[4]。另含沙苑子甙(Complanatuside)(1)[5]、沙苑子新甙(Neocomplanoside)、沙苑子杨梅甙(Myricomplanoside)(2)及鼠李柠檬素-3-O-β-D-葡萄糖甙,紫云英甙,山柰素-3-O-α-L-阿拉伯吡喃糖甙、山柰素,杨梅皮素[6]

沙苑子种子分到沙苑子亭(Complanatin,即N〔3-羧丙基〕N-〔3-甲基-2-J烯〕胍)[6]

沙苑子种子分到沙苑子亭(Complanation,即N〔3-羧丙基〕N-〔3-甲基-2-丁烯〕胍)[6]

参考文献 [1] 中药研究文献摘要(1975-1979):科学出版社,1986∶407 [2] 药学通报 1983;18(9)∶546 [3] 中药通报 1987;12(12)∶42 [4] 中国中药杂志 1990;15(4)∶225 [5] 药学学报 1988;23(3)∶218 [6] Chinese Chemical Letters 1991∶2(9)∶691。【药理】:

❶ 对心血管系统的作用 大鼠iv沙苑子总黄酮25,50mg/kg,血压明显下降,平均脉压下降50±18%和68±8%,收缩压下降40±19%和52±10%,舒张压下降48±19%和84±9%,去甲肾上腺素18-8mol/L所致大鼠主动脉条收缩效应时,沙苑子总黄酮在终浓度1×10-4g和3×10-4g时,肌条松弛率达33±17%和81±27%,肌张力下降至220±10mg和70±103mg[1]

沙苑子水煎醇沉制成的注射液,可使犬血压下降,心肌张力时间指数明显降低(0.125,0.25g/kgiv),两项指标均持续30min,注射液iv后1min,可使大鼠(0.1g/kg)和犬(0.125g/kg)脑血流量明显增加[2]
❷ 抑制血小板聚集作用 利用Born光密度法进行血小板聚集测定。体外试验中,沙苑子总黄酮在终浓度1.25,2.5和5.0mg/ml,可明显抑制ADP胶原和花生四烯酸诱变的大鼠血小板聚集;大鼠ig(1.0g/kg)后2h,亦可明显抑制ADP和胶原诱发的血小板聚集[1]

❸ 对肝脏代谢的作用 沙苑子水煎剂(5.0g/kg 7d,ig)使正常小鼠体重增加,降低肝糖元、肝总蛋白及甘油三酯,显示有促进生长发育及增加肝脏物质代谢作用;5g/kg po给药,连续7d,使四氯化碳造型大鼠高SGPT明显降低,肝胆固醇显著下降,其水溶性部分能使造型大鼠明显升高的肝指标及血高甘油三酯明显降低;乙酸乙酯部分(主要含黄酮),则使造型动物降低的肝糖元明显增加,血甘油三酯明显降低,并且显著降低SGPT的作用[3]
❹ 降脂作用 高脂饲料加黄酮(30.0g生药/kg),饲喂大鼠14d,用药组血清总胆固醇(TC)、甘油三酯和低密度脂蛋白-胆固醇(LDL-C)明显降低;高密度脂蛋白-胆固醇(HDL-C)及HDL_C/TC、HDL-C/LDL-C比值明显升高[4]
❺ 抗炎作用 沙苑子水提醇沉液能抑制甲醛性,角叉菜胶及组胺引起的大鼠关节肿和炎性肉芽肿的形成(5,10g/kg,ip),而且能直接对抗组胺兴奋离体豚鼠肠肌的作用(浓度分别为1×10-2和2×10-2g);并能明显抑制由组胺引起毛细血管通透性增加,但不影响去肾上腺大鼠的存活时间和幼龄小鼠胸腺、脾脏的重量,表明沙苑子抗炎作用可能与阻止组胺过量释放而引起的组织水肿和增加毛细血管通透性有关[5]

参考文献 [1] 中药药理与临床1988;4(4)∶26 [2] 西北药学杂志 1987;2(1)∶5 [3] 西北药学杂志 1986;1(1)∶20 [4] 陕西药学杂志 1989;18(1)∶59 [5] 西北药学杂志 1988;3(2)∶14。【药性】:

性味 甘,温。

❶ 《纲目》:“甘,温。”
❷ 《本草汇言》:“甘兼苦。”

归经 入肝、肾经。 ❶ 《本草通玄》:“走肾、肝二经。”
❷ 《本草再新》:“入心、肾二经。”

功效 补肝,益肾,明目,固精。

主治 肝肾不足,腰膝酸痛,目昏,遗精早泄,小便频数,遗尿,尿血,白带。 ❶ 《本草衍义》:“补肾。”
❷ 《纲目》:“补肾,治腰痛泄精,虚损劳乏。”
❸ 《本草从新》:“补肾,强阴,益精,明目。治带下,痔漏,阴。性能固精。


❹ 《医林纂要》:“坚肾水,泻邪湿,去癥瘕痔瘘。”
❺ 《会约医镜》:“止遗沥,尿血,缩小便。”
❻ 《本草求原》:“治肺痿,肾冷,尿多,遗溺,明目,长肌肉。亦治肝肾风毒攻注。

用法用量 内服:煎汤,6~9g;或入丸、散。

使用注意 相火炽盛,阳强易举者忌服。《本经逢原》:“肾与膀胱偏于热者禁用。”。【临床应用】:

配伍应用 ❶ 配杜仲,治肝肾亏虚之腰痛。

❷ 配刺蒺藜,治肝肾不足所致的头昏目眩,视物不清及肾虚腰酸、腰痛、遗精早泄、小便频数,妇女带下诸症。
❸ 配川续断,治肾虚腰痛。

❹ 配菟丝子、牛膝,治遗精、早泄,腰膝酸痛等症。
❺ 配枸杞子、熟地,治肝肾不足所致的视蒙。

❻ 配覆盆子,治肾亏遗精、早泄、遗尿及肝肾不足的寒湿带下。
❼ 配菟丝子、楮实子,治肝肾不足,目昏眼花,视力减退。
❽ 配牛膝,治肾虚腰痛。
❾ 配决明子、菊花,治肝肾不足,虚火上炎的目昏,视物不清。

❿ 配石菖蒲、夜明砂,治早期老年性白内障。 ⑾配补骨脂,覆盆子,治肾虚不固之尿频,遗尿。

⑿配女贞子、菊花,治肝肾虚弱,头晕眼花,视力减退。 ⒀配金樱子、菟丝子,治肝肾不足所致的遗精、尿频。

⒁配芡实、莲须,治肾虚不固,遗精滑精,小便频数。 ⒂配龙骨、牡蛎,治肾虚阳痿,遗精早泄,小便频数,耳鸣腰痛。 ⒃配菟丝子、枸杞子,治肾精不足,腰膝酸软,遗精。

⒄配桑螵蛸、益智仁,治老年人肾虚小便频数或失禁。 ⒅配白蒺藜、决明子,治肾虚所致的头晕眼花。

方选和验方 ❶ 金锁固精丸(《医方集解》)治肾关不固,遗精滑泄:沙苑蒺藜(炒)、芡实(蒸)、莲须、龙骨(酥炙)、牡蛎(盐水煮一昼夜,煅粉)各30g。上为细末,莲子粉糊为丸,盐汤送下9g。
❷ 经进萃仙丸(《张氏医通》)治脾肾俱虚,败精失道,精滑不固者:沙苑蒺藜(微焙,取细末120g入药,留粗末120g同金樱子熬膏)240g,山茱萸(酒蒸去核)、芡实(同枸杞捣)、白莲子(酒洗)、枸杞子各120g,菟丝子(酒浸、蒸烂)、酒续断、覆盆子(酒浸,九蒸九晒)、金樱子各60g。

前8味为细末,以所留蒺藜粗末同金樱子熬膏,入诸药末拌匀,炼蜜为丸,梧桐子大,每服80~100丸,空腹,淡盐汤送下。
❸ 聚精丸(《证治准绳》)治肾虚精亏,梦遗滑精:黄鱼鳔胶(切碎,蛤粉炒成珠)500g,沙苑蒺藜(马乳浸二宿,隔汤蒸后,焙干)24g。为细末,炼蜜为丸,梧桐子大。每服80丸,空腹温酒或白开水送下。

❹ 白斑乌黑汤(《中国中医秘方大全》)治白癜风:沙苑子15g,女贞子15g,覆盆子10g,枸杞子10g,黑芝麻15g,白蒺藜15g,赤芍10g,白芍10g,川芎10g,首乌10g,当归10g,地黄10g。水煎服。
❺ 《吉林中草药》:“治目昏不明:沙苑子9g,茺蔚子6g,青葙子9g。共研细末,每次3g,日服2次。


❻ 《内蒙古中草药》:“治久病体虚,视力减退:沙苑子、枸杞子、熟地各9g。水煎服。


❼ 《内蒙古中草药》:“治尿频、遗尿、白带:沙苑子、补骨脂、山药、党参各9g。水煎服。


❽ 《内蒙古中草药》:“治遗精、早泄:沙苑子、菟丝子、锁阳各9g。水煎服。”

单方应用 ❶ 《本草汇言》:“治脾胃虚,饮食不消,湿热成臌胀者:沙苑蒺藜(酒拌炒)60g,苍术(米泔水浸1日,晒干,炒)240g。共研细末,每次3g,日服2次。


❷ 《内蒙古中草药》:“治体虚,腰酸背痛:沙苑子15g,水煎服。”

食疗 羊肾酒(《新编经验方》)治阳虚体弱,筋骨不健,步履乏力,阳事不兴,婚后无嗣:生羊腰1对,沙苑子、桂圆肉、淫羊藿、仙茅、苡仁各120g,烧酒10kg。将上药以烧酒浸泡7天后,过滤取酒饮用。每次饮10ml,每日1~2次。。【医药家论述】:

❶ 倪朱谟《本草汇言》:“沙苑蒺藜,补肾涩精之药也。其气清香,能养肝明目,润泽瞳人。补肾固精,强阳有子,不烈不燥,兼止小便遗沥,乃和平柔润之剂也。”
❷ 张璐《本经逢原》:“沙苑蒺藜,性降而补,益肾,治腰痛,为泄精虚劳要药。最能固精,故聚精丸用此佐鳔胶,大有殊功。

以之点汤代茶,亦甚甘美益人。”

随便看

 

文网收录3541549条中英文词条,其功能与新华字典、现代汉语词典、牛津高阶英汉词典等各类中英文词典类似,基本涵盖了全部常用中英文字词句的读音、释义及用法,是语言学习和写作的有利工具。

 

Copyright © 2004-2024 Ctoth.com All Rights Reserved
京ICP备2021023879号 更新时间:2026/1/16 22:35:15