网站首页  词典首页

请输入您要查询的字词:

 

字词 洋芋
类别 中英文字词句释义及详细解析
释义 洋芋

【名称出处】:《湖南药物志》

【概况】:

异名 阳芋(《植物名实图考》),洋番薯(《中国蔬菜栽培学》),洋山芋(南方俗称),土豆(北方俗称)。

基源 为茄科茄属植物马铃薯的块茎。茄属全世界约2000种;中国39种、14变种,其中药用的有约20种。

原植物 马铃薯Solanum tuberosum L.

历史 始录于《植物名实图考》载曰:“绿茎青叶,叶大小、疏密、长圆形状不一,根多白须,下结圆实,压其茎则根实繁如番薯,……开花紫筒五角,间以青纹,中擎红的,绿蕊一缕……。山西种之为田,俗称山药蛋,尤硕大,花白色”。

所述及附图,属本种。

形态 一年生草本,高30~80cm。

茎无毛或被疏柔毛。地下具块茎,径约3~10cm,类球形、扁球形或矩圆形。单数羽状复叶,小叶6~8对,常大小相间,卵形至矩圆形,长至6cm,小不及1cm,叶端尖,叶基略偏斜,全缘,两表面具疏柔毛。伞房花序顶生,后侧生,花白色或蓝紫色;萼钟形,径约1cm,外表具疏柔毛,先端5裂,裂片披针形;花冠辐状,径2~3cm,花冠筒隐于萼内,5浅裂,裂片三角形;雄蕊5枚,花药长为花丝的5倍,子房卵圆形。浆果圆球形,秃净,径约1.5~2cm。花期夏季。

(图见《中国高等植物图鉴》.第3册.722页.图5398)

生境与分布 原产热带美洲山地,现广植于全球温带地区,中国各地均有栽培。。【化学】:

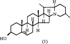
含甾体生物碱茄啶(Solanidine)(1)及其葡萄糖甙γ-Chaconine、γ-茄碱(γ-Solanine)、d-茄碱,β-茄碱和β-C-haconine[1],以及去甲肾上腺素(Noradrenaline)[2]

参考文献 [1] Dictionary of Alkaloids Chapman and Hall Ltd, 1989:586,979 [2] Phytochemistry 1977;16:9

【药理】:

发芽的洋芋含龙葵碱,人服0.2g游离龙葵碱即可产生典型的皂碱毒作用[1]。大鼠iv龙葵碱30mg/kg可使血糖升高,α-或β-肾上腺素能受体阻断剂均可抑制此作用[2]

参考文献 [1] 中药大辞黄.下册.上海人民出版社,1977:1718 [2] 日本药理学杂志 1967;63(1):393

【药性】:

性味 甘,平。

❶ 《植物名实图考》:“甘、淡。”
❷ 《湖南药物志》:“甘,平。”

功效 补气,健脾,消炎。

主治 腮腺炎,烫伤。 《湖南药物志》:“补中益气,健脾胃,消炎。”

用法用量 内服:煮食或煎汤。

外用:磨涂患处。

【临床应用】:

单方应用 ❶ 《湖南药物志》:“治腮腺炎:马铃薯1个,以醋磨汁,搽患处,干即搽。”
❷ 《湖南药物志》:“治烫伤:马铃薯,磨汁涂伤处。”

随便看

 

文网收录3541549条中英文词条,其功能与新华字典、现代汉语词典、牛津高阶英汉词典等各类中英文词典类似,基本涵盖了全部常用中英文字词句的读音、释义及用法,是语言学习和写作的有利工具。

 

Copyright © 2004-2024 Ctoth.com All Rights Reserved
京ICP备2021023879号 更新时间:2025/10/17 15:21:01