网站首页  词典首页

请输入您要查询的字词:

 

字词 流动性陷阱
类别 中英文字词句释义及详细解析
释义 流动性陷阱

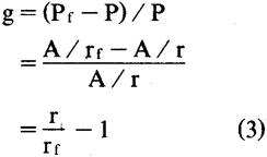
在凯恩斯货币需求理论中,债券未来收益由两部分组成:一是获得的利息,二是由利率变动引起的债券资本价值的变动。

债券的价格应表示为

其中,P是债券价格,A为债券持有者所得到的年息金额,r代表利率。因此,若投资者预计未来的利率为rf,他对债券未来价格的预期为Pf,则

而预期的资本增值率(或亏损率)g则是

透过(3)可知,g的大小是同预期利率rf紧密相联的。

若rf=r,则预期资本增值率(或亏损率)g是零。把债券的既定收益r同不确定收益结合在一起,就得出了持有债券的总收益R,即

以货币形式持有全部金融资产的条件是,持有债券的总收益小于零,即

不等式(5)还可变成

r·rf+r<rf (6)

由于现行利率同预期利率之间的差额不至于过大,因而人们也可以说,使投资者全额持有货币的粗略条件是预期利率必须大于现行利率与现行利率的平方之和,即

r2+r<rf (7)

相反,若r2+r>rf,则投资者全额持有债券。

在解释能导致全额持有货币的现行利率r的临界水平时,凯恩斯推论,当利率低到“比方说百分之二时”,流动性偏好的弹性将越来越大,当利率大致在零点以上时,这种偏好的利率弹性是无限的。此时,流动性偏好曲线就成为一条平行于横轴的直线了。

这等于说,当现行利率达到这样的临界水平时,凡是由银行机制增发的任何货币量都要被类似陷阱的东西所吸收,即人们窖藏货币的偏好已呈绝对弹性。这种状态称为“流动性陷阱”。

“流动性陷阱”理论的政策涵义很简单。

当中央银行贯彻一种旨在实现经济增长的膨胀性货币政策时,它要采取强有力的行动来扩大货币供给从而压低利率,刺激投资。

人们可以设想,当货币供给增加随著流动性偏好曲线向右移动时,如接近陷阱或进入陷阱,这就会使越来越多的投资者担心:此时价格水平过高的债券是否能长期保持下去;结果必然是产生一个对债券价格看跌的预期以及“空头”交易的泛滥,任何追加的货币供给都被公众窖藏了,而利率却粘固在陷阱内下不来。基于这些理由,尽管凯恩斯仍然重视货币因素的作用和货币政策效应,但由于流动性陷阱的可能存在,致使通过增加货币供给来降低利率从而促进投资兴旺的一整套宏观货币政策,在短期显得力不从心了。

故在凯恩斯体系中,货币政策也就只能作为一种长期的政策(而不是临时的应急处方)来对待了。

参“流动偏好”。

随便看

 

文网收录3541549条中英文词条,其功能与新华字典、现代汉语词典、牛津高阶英汉词典等各类中英文词典类似,基本涵盖了全部常用中英文字词句的读音、释义及用法,是语言学习和写作的有利工具。

 

Copyright © 2004-2024 Ctoth.com All Rights Reserved
京ICP备2021023879号 更新时间:2026/4/17 14:21:23