瑞西美托
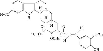
C33H38N2O8=590.67 CAS-73573-42-9 18β-羟-11,17α-二甲氧-3β,20α-育亨烷-16β-羧酸甲酯(E)-4-羟-3-甲氧肉桂酸酯。 Methyl 18β-hydroxy-11,17α-dimethoxy-3β,20α-yohimban-16β-carboxylate(E)-4-hydroxy-3-methoxycinnamate(ester). 18-[[3-(4-羟-3-甲氧苯基)-1-氧代-2-丙烯基]氧]-11,17-二甲氧育亨烷-16-羧酸甲酯。 18-[[3-(4-Hydroxy-3-methoxyphenyl)-1-oxo-2-propenyl]oxy]-11,17-dimethoxyyohimban-16-carboxylic acid methyl ester. O-(4-羟-3-甲氧肉桂酰)利血平酸甲酯。 Methyl O-(4-hydroxy-3-methoxycinnamoyl)reserpate. 抗高血压药。 Rescimetol,Toscarna,CD 3400. INN,JAN,USAN.  |