生产周期
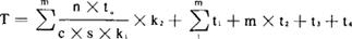
又称生产循环期。 是指产品从原材料投入生产开始到成品出产为止所经历的时间。它是编制生产计划和生产作业计划的重要期量标准之一,是确定产品各工艺阶段的投入期和出产期的主要依据。产品生产周期是由劳动过程时间、自然过程时间和各种必要的停歇时间构成的。 确定产品的生产周期,一般分两步进行:首先,根据生产流程,确定产品(或零件)在各个工艺阶段上的生产周期;其次,在此基础上确定产品的生产周期。 (1)工艺阶段的生产周期。以机械产品的加工为例,一批零件工艺阶段的生产周期的计算公式如下:  式中:T表表一批零件的生产周期;m表示车间内部零件加工的工序数;n表示零件批量; 表示零件工序单件加工时间;c表示每日有效工作时间;s表示执行该工序的工作地数;k1表示定额完成系数;k2表示工序间的平行系数,其大小与零件在工序间的移动方式有关;t1表示工序调整设备工具的时间;t2表示平均每道工序的间断时间,根据统计资料分析确定;t3表示跨车间协作工序时间;t4表示工艺规定的自然时效时间。 (2)产品的生产周期。把各个工艺阶段的生产周期汇总起来,即为产品的生产周期。 也可以通过编制产品生产周期进度表来确定。一般以产品完工入库的时间为起点,按反工艺顺序,根据各工艺阶段的生产周期,逐一确定产品在各工艺阶段的出产和投入日期。 但应注意使各零件的工艺加工阶段尽可能平行交叉地进行,以缩短整个产品的生产周期。对于复杂的大型产品,还可以用网络图的形式来确定产品的生产周期。 |