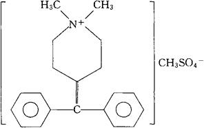
甲基硫酸二苯马尼
C21H27NO4S=389.51 CAS-62-97-5 4-(二苯亚甲基)-1,1-二甲基哌啶鎓甲基硫酸盐。 4-(Diphenylmethene)-1,1-dimethylpiperidinium methyl sulfate. 抗胆碱药。 二苯马尼甲硫酸盐。 Diphemanil Methylsulfate,Diphemanil Metilsulfate,Prantal,Variton. INN(Diphemanil Metilsulfate),BAN(DiphemanilMethylsulphate),USAN,USP.  |