甲泼尼龙磺庚酯
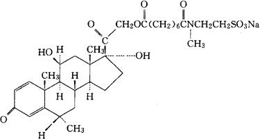
C33H48NNaO10S=673.79 CAS-90350-40-6 (6α,11β)-11,17-二羟-6-甲基-21-[[8-[甲基(2-磺乙基)氨基]-1,8-二氧代辛基]氧]孕甾-1,4-二烯-3,20-二酮,单钠盐。 (6α,11β)-11,17-Dihydroxy-6-methyl-21-[[8-[methy(l2-sulfoethyl)amino]-1,8-dioxooctyl]oxy]-pregna1,4-diene-3,20-dione,-monosodium salt. 11β,17,21-三羟-6α-甲基孕甾-1,4-二烯-3,20-二酮,7-[甲基(2-磺乙基)氨甲酰基]庚酸C-21-酯单钠盐。 7-[Methyl(2-sulfoethyl)carbamoyl]heptanoic acid,C-21-ester with 11β,17,21-trihydroxy-6α-methylpregna-1,4-diene-3,20-dione,monosodium salt. 肾上腺皮质激素类药。 Methylprednisolone Suleptanate,U-67,590A. INN,USAN.  |